网站首页  词典首页


请输入您要查询的字词:

 

字词 单值x控制图
类别 中英文字词句释义及详细解析
释义

单值x控制图


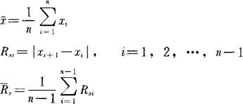
设质量指标X~N(μ,σ2)。则在单件或小批量生产以及质量控制上需要的场合,可使用单值控制图。其上下控制界限及中心线的确定方法是:抽取一批质量指标较好的产品(不少于25件),测出所需要的质量指标,取得数据,按下列公式求出样本均值、移动极差Rsi及其均值:

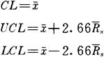
这样就可以计算出3条线

然后在适当的格纸上画出控制图,并将各点描在图上,根据判别准则判断生产是否处于控制状态,如果是就可以在生产现场使用。

随便看

 

离鸟网收录3541549条中英文词条,其功能与新华字典、现代汉语词典、牛津高阶英汉词典等各类中英文词典类似,基本涵盖了全部常用中英文字词句的读音、释义及用法,是语言学习和写作的有利工具。

 

Copyright © 2004-2024 vtrois.com All Rights Reserved
更新时间:2026/4/20 15:06:28