网站首页  词典首页


请输入您要查询的字词:

 

字词 单侧公差限时的Cp值
类别 中英文字词句释义及详细解析
释义

单侧公差限时的Cp值


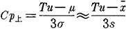
有些只规定公差上限Tu的场合,工序能力指数计算公式是:

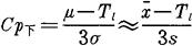
而只规定公差下限Tl的场合,其计算公式是:

随便看

 

离鸟网收录3541549条中英文词条,其功能与新华字典、现代汉语词典、牛津高阶英汉词典等各类中英文词典类似,基本涵盖了全部常用中英文字词句的读音、释义及用法,是语言学习和写作的有利工具。

 

Copyright © 2004-2024 vtrois.com All Rights Reserved
更新时间:2026/4/19 2:13:53