网站首页  词典首页


请输入您要查询的字词:

 

字词 化学结构
类别 中英文字词句释义及详细解析
释义

化学结构


(一)聚乙烯(Polyethylene,PE)

聚乙烯是直链碳氢高分子化合物,根据其侧链分子结构分类,可由不同的催化剂来控制。同别的烯烃一样,聚乙稀化学稳定性好,但遇强氧化剂会氧化并脆化。常温不溶于溶媒,但腐蚀性溶媒可使其变软或膨胀,卫生性能最好。(1)

(二)低密度聚乙烯(Low-density Polyethylene,LDPE)

LDPE的分子结构侧链上带有长、短不同的支链,分子结构松散。

(三)高密度聚乙烯(High-density Ployethylene,HDPE)

高密度聚乙烯(HDPE)

HDPE分子结构主要是线型结构,具有少的支链,比低密度聚乙烯性硬,机械强度较大,耐化学性好,密度大,气密性好。

(四)线型低密度聚乙烯(Linear Low-density Polyethylene,LL.DPE)

LLDPE的分子结构中侧链为短支链,介于高密度与低密度之间,所以其硬度亦介于低,高聚乙烯之间

(五)交链聚乙烯(Cross-linked Polyethylene,XLPE)

交联聚乙烯是具有网状结构的热固性塑料,不论高密度聚乙烯,还是低密度聚乙烯,通过交联后,其分子侧链互相结合形成分子量很大的三维聚合物。提高了耐热、防老化和耐磨性,改变了原物质的硬性和抗化学品力,以及耐应力开裂性,此种聚合物最适合作大型的储罐。

(六)聚丙烯(Polypropylene,PP)

PP与聚乙烯(PE)相似,但其侧链有甲基。白色无味,无嗅,密度小,是塑料中最轻的一种,可耐高压,常温抗溶,与大多数介质不起作用,但对强氧化剂比聚乙烯敏感。在聚烯烃中其韧性最强,在零度时易碎,并易打坏,其卫生性与PE相似。

聚丙烯(PP)

(七)聚丙烯共聚物(Polypropylene Copolymer,PPCO)

聚丙烯共聚物是乙烯和丙烯的线型共聚物,它具有两者的优点,可耐高压,比聚丙烯耐高温,比聚乙烯耐低温,又具有和软性。

聚丙烯共聚物(PPCO)

(八)聚甲基戊烯(Polymethyl Pentene,PMP)

聚甲基戊烯与聚丙烯相似,但由于异丁烷取代其甲基,其抗化学品能力与聚丙烯接近,易被碳氢化合物和氯代溶媒软化。聚甲基戊烯比聚丙烯易被氧化剂腐蚀。很透明,性硬,抗化学品力强,耐高温,故可作实验室用品,可在150℃下耐高压,短时可耐175℃,其成品在室温时发脆,易打碎。

聚甲基戊烯(PMP)

(九)聚苯乙烯(Polystyrene,PS)

聚苯乙烯无色,无嗅,无味,无毒,具型稳性,抗液体化学品,但抗溶媒弱,机械强度不高,冲击性能较差,性脆,易开裂,不耐热,易燃。透明,卫生性好,常作医疗一次性用品。

聚苯乙烯(PS)

(十)聚氯乙烯(Polyvinyl-chloride,PVC)

聚氯乙烯与聚乙烯相似。因含氯原子,难燃,抗化学品腐蚀。但不抗某些溶剂,耐磨,有较高的机械强度。特别抗油(除香精外)。透气性低,卫生性能差。透明,淡兰色,可作薄壁窄口瓶,能弯曲。当混入苯二酸脂后变软并具韧性,因此可作实验室用品。

聚氯乙烯(PVC)

(十一)热弹性塑料(Thermoplastic Elastomer,TPE)

热弹性塑料是聚烯烃的一种,由于其结构,分子量和化学性能,可压成似橡胶的高压配件,故可作超小型活塞帽和超速离心机用品。

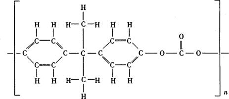
(十二)乙缩醛(Acetal,ACL或多聚甲醛Polyxymethylene,POM)

因乙缩醛由甲醛聚合,其性脆、材坚,具有优良物理和机械性能,在升温时保持其型稳性及其他性能,能抗多种有机溶媒,抗强酸和强碱,不透明。加入玻璃纤维以加强其硬度,可作实验室管架。

乙缩醛(ACL)

多聚甲醛(POM)

(十三)尼龙(Nylon,NYL)

尼龙是一族线性聚合物的酰胺链骨架,由二元胺与二元酸或由氨基酸内酰胺经缩聚或自聚而成,耐高温,高强度,耐磨,耐疲劳,耐碰撞,抗有机溶媒。但抗强矿物酸、强氧化剂和某些盐很弱。

尼龙(NYL)

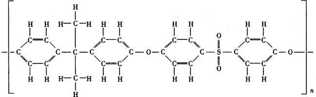
(十四)聚碳酸脂(Polycarboanate,PC)

聚碳酸酯透明,坚硬,坚韧,可高压,耐油,无毒,是热塑料中最坚硬者。它是一种特别的聚脂,由于碳酸链和双酚构成,故可与碱液和浓酸作用,升温时水解侵蚀并溶于多种有机溶媒。由于其韧硬性和型稳性,故用作高速离心机用品。在200nm到380nm不透过紫外线(200~300nm为0%,到380nm仅为0.2%).因此可在灭菌箱内全程灭菌(254nm).

聚碳酸脂(PC)

(十五)聚砜(Polysulfone,PSF)

与聚碳酸脂相似,聚砜透明,坚硬,无毒和特别韧,也比聚碳酸脂在高压时少水解和变草黄色。聚砜抗酸、碱、水溶液、脂肪族和醇。它有异亚丙基(isopropylidene),醚(ether),砜(sulfone)三个不同的基团,每个基团均显现其特性。如抗化学品性,耐温和坚韧。

聚砜(PSF)

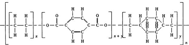
(十六)聚乙烯对酞酸G共聚物(Polyethylene Terephathalate G Copolyner,PETG)

如其他工程塑料一样,PETG透明,坚韧,不透气,因此可以放置生物制品。PETG放置生物制品相当于或优于硼硅玻璃,无细菌毒素,广泛用于细胞培养。培养基存于PETG显示增殖,生长一单层于表面。抗化学品,可用放射性化学品消毒,但不能用高压消毒。

聚乙烯对酞酸G共聚物(PETG)

(十七)聚苯撑氧(Polyphenylene Oxide,PPO)

此类工程塑料具有升温型稳性,应用温度范围广,耐水解,广频广温优良介电质。其优点:①从40℃~148℃时机械性能好;②能自行灭火;③具有型稳性和不吸水性;④抗液体化学品环境;⑤拉力好。

聚苯撑氧(PPO)

(十八)特氟纶FEP(Teflon,Flurinated Ethylene Propylene,FEP)

FEP半透明,性软,密度大,在升温时能抗除熔液碱金属,元素氟和氟的原始化合物以外的所有化学品,不能用于装浓的过氯酸,可耐-270℃~205℃的温度,可用于所有化学品和加热方法反复灭菌,可耐硝酸煮沸。

特氟纶(FEP)

(十九)特氟纶TFE,聚四氟乙烯(Teflon,Tetrafluoroethylene,TFE)

TFE不透明,白色,对固体摩擦系数低,它可作塞子和分液漏斗活塞。

(二十)太氟尔(Tefzel,Ethylene Tetrafluoroethylene Coplymer,ETFE)

ETFE白色,透明,稍软,是Teflon TFE和FEP中具有明显抗化学、抗温力、抗强的机械和抗撞击。

(二十一)乙烯、三氟氯乙烯共聚物(Ethylene and Chlorotrifluoroethylene,ECTFE)

ECTFE是乙烯和三氟氯乙烯的共聚物,此氟聚物,可经持久高温和从冷冻到-180℃范围内抗机械力,还具有良好的电器性能和抗化学品力,直到121℃不软化,也抗燃和抗放射性,因此可生产多种产品。

(二十二)氟聚物(Polyvinylidene Fluoride,PVDF)

PVDF是CH2和CF2交替的氟聚物,不透明,白色,很纯,抗污染,抗机械性能好和抗摩擦性能高,可耐幅射,可耐温100℃,抗弱碱、盐、强酸、液卤素、强氧化剂、芳香族、卤化和脂族溶剂。有机碱、短链酮、醚、和氧化剂可在常温下腐蚀它,发烟硝酸和浓硫酸可以使其软化,在极限温度时强碱液将其部分溶解,当型槽空着,有外支架时可耐高压灭菌。

氟聚物(PVDF)

(二十三)特氟纶PFA(Teflon,Perfluoroalkoxy,PFA)

PFA半透明,稍软,在-270℃~250℃抗化学品力强,在277℃时比TFE韧性好,抗软化和变形,具低摩擦系数,具抗条性,抗燃烧。

特氟纶(PFA)

一般实验室塑料对生物品不敏感。如聚乙烯,聚丙烯,聚甲戊烯,聚碳酸脂,聚苯乙烯,PETG和Teflon FEP均对培养基无毒,配培养基用的蒸溜水常存于聚乙烯瓶。

随便看

 

离鸟网收录3541549条中英文词条,其功能与新华字典、现代汉语词典、牛津高阶英汉词典等各类中英文词典类似,基本涵盖了全部常用中英文字词句的读音、释义及用法,是语言学习和写作的有利工具。

 

Copyright © 2004-2024 vtrois.com All Rights Reserved
更新时间:2026/4/21 16:59:09