含有时间因素的线性支出方程组。
它是研究消费支出的一种数学模型,由于引入时间因素的方式不同,模型形式多种多样。下面是一个实用的具体模式。
设消费支出划分成m个类别,各类的价格为pit,需求量为qit(i=1,2,…,m)。
pitqit=Vit是各类消费支出额,
是消费总支出。
Yt是可支配收入。
t是时间变量的序号。
如果把分类消费支出看作总支出和时间变量的函数,模型形式是
pitqit=αi+βiVt+γit i=1,2,…,m
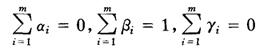
式中的αi,βi和γi是参数。在这一模型中有

如果把分类消费支出看作收入和时间的函数,模型形式是:

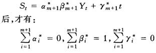
当把储蓄(St,St=Yt-Vt)也引入模型,另建一个方程
