网站首页  词典首页


请输入您要查询的字词:

 

字词 加权调和平均数价格
类别 中英文字词句释义及详细解析
释义

加权调和平均数价格


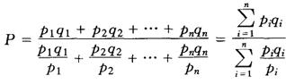
利用加权调和平均法得出的平均价格,权数是各成交价格的销售额。计算加权调和平均数价格需要掌握的原始数据是诸种成交价格和各成交价格的销售额。设有n种成交价格p1,p2,…,pn,其相应的销售额用成交价格与销售量的乘积表示,即p1q1,p2q2,…,pnqn,其中q1,q2,…,qn,为各种成交价格的相应销售量,但系未知的。P代表平均价格。其公式如下:

由公式可看出,整个公式的分子是销售总额,分母是销售总量,本质上就是算术平均数价格。

〖参〗加权算术平均数价格

随便看

 

离鸟网收录3541549条中英文词条,其功能与新华字典、现代汉语词典、牛津高阶英汉词典等各类中英文词典类似,基本涵盖了全部常用中英文字词句的读音、释义及用法,是语言学习和写作的有利工具。

 

Copyright © 2004-2024 vtrois.com All Rights Reserved
更新时间:2026/4/20 4:32:39