网站首页  词典首页


请输入您要查询的字词:

 

字词 加权算术平均数
类别 中英文字词句释义及详细解析
释义

加权算术平均数


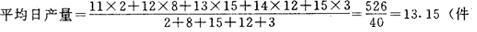
将各变量数值与相当的次数相乘,然后把得乘积加总后,再用次数除即得。所谓权数就是变量的次数。其计算公式为:

〔计算例〕 如下表(表1-3):

表1-3

随便看

 

离鸟网收录3541549条中英文词条,其功能与新华字典、现代汉语词典、牛津高阶英汉词典等各类中英文词典类似,基本涵盖了全部常用中英文字词句的读音、释义及用法,是语言学习和写作的有利工具。

 

Copyright © 2004-2024 vtrois.com All Rights Reserved
更新时间:2026/4/20 9:02:18