网站首页  词典首页


请输入您要查询的字词:

 

字词 副粘病毒属
类别 中英文字词句释义及详细解析
释义

副粘病毒属


主要成员包括新城疫病毒、尤凯帕病毒、副流感病毒1~5型、腮腺炎病毒等。本属病毒呈圆形或多形性,具有血凝素和神经氨酸酶。大多数病毒能凝集鸡等多种动物的红细胞,能在鸡胚中生长,在细胞培养中生长时产生细胞病变,形成合胞体和产生嗜酸性胞浆内包涵体。感染细胞能吸附一定种类的红细胞。

一、新城疫病毒(Newcastle disease virus)

新城疫病毒对鸡具有高度的传染性,火鸡等多种禽类亦有不同程度的易感性。各毒株的抗原型没有明显区别,但抗原性和凝集红细胞的能力却有差异。自然界分离的毒株的毒力相差很大。非典型新城疫往往存在于鸡群中影响产蛋量和存活率。

(一)样品采集 无菌手术采集2~3份新鲜脾、肺及脑组织,置入50%的pH7.2~7.5甘油盐水(或缓冲液)中。也可将整个鸡头或新鲜尸体送往实验室。从腋下静脉采血自然析出血清送检。

(二)病毒分离

1.细胞培养 常用鸡胚成纤维细胞培养病毒,细胞被感染形成合胞体,产生嗜酸性胞浆内包涵体。大多数毒株能在兔、猪、犊牛和猴肾传代细胞和Hela细胞中生长,产生血凝素,吸附血细胞并引起细胞病变。

2.鸡胚接种

(1)将被检标本用灭菌生理盐水(甘油盐水中的病料在磨碎前应先用灭菌生理盐水冲洗)制成1∶100的乳剂,取上清液,加入青霉素1000IU/ml、链霉素1000μg/ml。

(2)取0.2ml接种于9~11日龄鸡胚尿囊腔中。每份病料可接种3~5枚鸡胚,按常法培养观察。

(3)24h后,每日照蛋2次,将致死的鸡胚及时取出。由于病料中所存毒株的毒力不同,鸡胚经接种后一般于24~72h死亡。

(4)从死亡的鸡胚收集尿囊液,用血凝及血凝抑制试验鉴定病毒,并观察鸡胚病变和进行无菌检验。感染鸡胚出现充血和点状出血,头顶部有出血斑。弱毒株可能不致死鸡胚,但尿囊液中含有大量病毒。若鸡胚无病变也无血凝,则盲传2~3代以提高检出率。

3.血清学试验 血凝抑制试验用于鉴定病毒和检测鸡血清中的血凝抑制抗体,以监测鸡对新城疫的免疫状态。试验方法见第九章第七节。

(三)新城疫病毒致病力强弱的鉴定法 自然界中存在的新城疫病毒的致病力有很大的差别。评定新城疫病毒的致病力根据以下三项指标,即脑内接种致病指数(ICPI),静脉接种致病指数(IVPI)和接种鸡胚死亡时间平均数(MDT)。

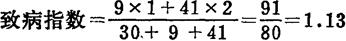
1.脑内接种致病指数(ICPI)计算法 将被测新城疫病毒感染鸡胚尿囊液作10倍稀释,给1日龄雏鸡脑内接种0.05ml,共注射10只雏鸡,然后每天定时观察,连续8天,按公式计算出致病指数。

从表50-1可以算出

表50-1 新城疫病毒株ICPI试验的例子

2.静脉接种致病指数(IVPI)计算法新城疫病毒感染鸡胚尿囊液作10倍稀释,静脉接种6周龄雏鸡,每只0.1ml,共10只,连续观察10天。IVPI的统计法和ICPI相似。按表43-3,

3.鸡胚死亡时间平均数(MDT)计算法将新城疫病毒感染鸡胚尿囊液用加抗生素的灭菌生理盐水进行10倍递增稀释为10-2、10-3、10-4…等不同稀释度,每个稀释度用0.1ml接种9日龄SPF鸡胚(或来自未免疫鸡的鸡胚)的尿囊腔,各接种鸡胚5枚。继续孵化,每天照蛋两次,记录鸡胚死亡时间,弃去24h内死亡的鸡胚,到第7天不死者置冰箱冻死。从全部鸡胚分别取尿囊液作血凝试验和无菌检验。能使5枚鸡胚全部致死的病毒最高稀释度为被检病毒株对鸡胚的最小致死量(MLD),以它为标准,计算出鸡胚死亡时间平均数。

表50-2 新城疫病毒株IVPI试验的例子

表50-3 新城疫病毒株MDT试验的例子

按表50-4,将病毒材料稀释度为10-8所致死的5枚鸡胚的死亡时间加起来,再用5除,即为该毒株的MDT。

(四)新城疫病毒按致病力可分为三类(表50-4)

弱毒株(Lentogenic strains):致病力极弱,大多数活毒疫苗都用它们制造。

强毒株(velogenic strains):具有高度致病力,这些毒株用作检验疫苗效价时的攻击强毒。

中等毒力株(mesogenic strains):具有中间致病力,有些毒株可用作加强注射时的疫苗毒株。

表50-4 根据ICPT、IVPT和MDT三种试验对新城疫病毒的分类

表50-5 一些新城疫病毒株的致病力数据

二、副流感病毒(Parainfluenza virus)

副流感病毒是副粘病毒属中的一个亚群。鸡胚对有些毒株的敏感性较差,因此分离病毒常用细胞培养。将分离株用血吸附抑制试验、血凝抑制试验、补结试验或中和试验进行鉴定。

副流感病毒有五个血清型,各型在血清学上具有轻微的交叉反应。

副流感病毒是人类尤其是儿童呼吸道感染重要病原之一。1型的仙台病毒(Sendai virus)对小白鼠引起隐性感染,但通过激活后可引起致死性肺炎。本病毒还能感染貂、猴和猪。3型又名血吸附病毒1型(Haemadsorption virus typel);运输热病毒(Shipping fever virus),本病毒常与其他微生物协同作用或继发感染,引起牛、马呼吸道疾病,绵羊、羔羊和猴引起肺炎,可能引起牛不育和流产。

(一)样品采集 采集发病初期的鼻和咽后壁分泌物、气管和肺组织。由于副流感病毒不稳定,应尽快接种细胞,否则置-40℃保存。

(二)细胞培养 培养副流感病毒最好用猴肾或人胚肾细胞。维持液用199加2%的血清(鸡、马、牛),但必须事先测知血清无副流感病毒抗体才能使用。细胞培养接种病毒后置33℃静止或旋转培养(每小时10转左右)。副流感病毒尤其是早代病毒,在细胞培养上病变不明显,所以常用血吸附试验来判断有无病毒存在。此试验可在培养5~7天时进行,如为阴性则继续培养7天再作。一般培养14天仍无血吸附现象,则可判为阴性。如为可疑,经盲传继续观察。

病毒鉴定可用豚鼠红细胞吸附抑制试验。所用免疫血清滴度>160较好。除此还可用补结、血凝抑制及细胞培养中和试验进行鉴定。

(三)血清学试验 存在3型副流感病毒地区的牛群,牛含有抗体的百分率较高,因此需检查急性期和康复期双份血清,如抗体滴度增高4倍以上,即可定为近期感染。

1.抗原制备

(1)病毒粗制抗原:可作补结抗原和血凝素。病毒用猴肾或人胚肾细胞培养,1~3型培养6~8天,4型约需培养7~10天,如血凝滴度已达1∶16~1∶64,则将细胞培养冻融3次,2000r/min离心15min,上清液即为粗制抗原。1~3型病毒也可用鸡胚羊膜腔接种,置35℃培养6~7天,收获羊水作为抗原。

(2)可溶性抗原:补结可溶性抗原特异性较高,无血凝能力。制备法是将细胞培养病毒悬液加0.06%明胶,经20000r/min离心60min,弃上清液,用原液1/10量或更小体积的缓冲生理盐水悬浮病毒,加等量乙醚,振荡2h,静止分层后,用毛细吸管吸出底层悬液,加入红细胞,去除血凝素。正常对照抗原用同法制备。

2.血凝素制备 同病毒粗制抗原。如血凝滴度不高,可进行浓缩或化学法处理提高其滴度。

(1)浓缩法 将病毒悬液放入透析袋内,浸没在盛有聚乙烯乙二醇(PEG-6000)的容器内,4℃放置4~8h,可使病毒悬液浓缩10~20倍。

(2)化学法 按每4ml病毒悬液加5%Tween-80水溶液0.1ml,充分振荡10min,加1/3量的乙醚,再振荡10min,静置分层后,用毛细吸管吸出底层悬液,放入另一试管。试管斜放在无菌室内,让乙醚自然蒸发至无乙醚味即可。此法一般可提高血凝滴度4倍以上。

3.补结试验 常用多种抗原或多种免疫血清同时进行冷补结试验,以50%不溶血为终点。

4.血凝抑制试验 将经RDE处理,去除非特异性抑制物的待检血清,用生理盐水稀释为1∶10,然后再进行倍比稀释,试验按常规进行。各稀释度的血清加入4单位的血凝素后,在室温放置1h(或4℃过夜),然后加入0.4%的豚鼠红细胞,摇匀后,在室温或37℃放置45~60min,观察结果,以完全抑制的最高稀释度为终点。

5.细胞培养中和试验 特异性强,但需大量细胞,在病毒经初步鉴定后,可再用此法进一步定型。

(1)抗原用细胞培养的病毒悬液(见抗原制备)。血清用56℃30min灭活。

(2)一般用固定病毒稀释血清法,血清作1∶2~1∶256连续倍比稀释,病毒剂量为100TCID50/0.1ml。

(3)将等量不同倍数稀释的血清和病毒混合后,室温放置1h,以0.2ml接种细胞管(3型病毒可用牛肾细胞),每稀释度接种3~4管。

(4)吸附2h,再加入维持液0.8ml,35℃培养5~7天,观察细胞病变或作血吸附试验,计算出TCID50的血清稀释度。试验时应作正常血清对照和病毒对照。

随便看

 

离鸟网收录3541549条中英文词条,其功能与新华字典、现代汉语词典、牛津高阶英汉词典等各类中英文词典类似,基本涵盖了全部常用中英文字词句的读音、释义及用法,是语言学习和写作的有利工具。

 

Copyright © 2004-2024 vtrois.com All Rights Reserved
更新时间:2026/4/17 20:54:22