网站首页  词典首页


请输入您要查询的字词:

 

字词 剪切机下料
类别 中英文字词句释义及详细解析
释义

剪切机下料


剪切机常用来剪裁直线边缘的板料毛坯。对被剪板料,剪切工艺应能保证剪切表面的直线性和平行度要求,并尽量减少板材扭曲,以获得高质量的制件。

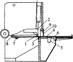
1.剪切机工作原理

如图4-4所示,上刀片1固定在刀架2上,下刀片3固定在下床面4上,床面上安装有托球5,以便于板料6的送进移动,后挡料板7用于板料定位,位置由调位销8进行调节。液压压料筒9用于压紧板料,防止板料在剪切时翻转。棚板10是安全装置,以防工伤事故。

图4-4 剪切机工作原理

1-上刀片;2-刀架;3-下刀片;4-下床面;5-托球;6-板料;7-后挡料板;8-调位销;9-压料筒;10-棚板

挡料板的调整可用手动或机动的方法。按样板手动调节的方法如下(图4-5):

图4-5 利用挡板剪料

(a)用后挡板;(b)用前挡板;(c)用角挡板和后挡板;(d)用两个角挡板;(e)用后挡板及角挡板;(f)用角挡板及前挡板

(1)调整前挡板

把后挡板靠紧下刀口,再把样板靠紧后挡板,将前挡板靠紧样板并固定住。松开后挡板,去掉样板,装上板料,进行剪切。

(2)调整后挡板

将样板托平对齐下刀口,再把后挡板靠紧样板并固定住,去掉样板,装上板料进行剪切。

(3)调整角挡板

先将样板放在台面上对齐下刀口,调整角挡板并固定。再根据样板调整后挡板,剪切时同时利用角挡板和后挡板。

斜口剪切过程如图4-6所示。剪切开始时,上刀刃和板料仅有一部分接触,然后板料一边被剪裂。当继续下行时便逐渐分离成两部分。

图4-6 斜口剪床切料

2.影响剪切性能的基本参数

(1)剪切力

平刃剪切机的剪切力为:

P=K1K2σbF

式中 K1——比例系数,K1max/σb,当σb<450MPa时,K1=0.7~0.8;

K2——刀片的磨钝系数,取1.15~1.20;

σb——被剪金属的抗拉强度(MPa);

F——被剪板料的断面积(mm2)。

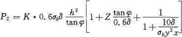
斜刃剪板机的总剪切力要比平刃剪切机的小,它由三部分力组成:基本剪切力,被剪下部分板料的弯曲抗力以及板料在剪切区变形的弯曲抗力。总剪切力与剪切角的关系接近反比例,即随剪切角的增加而减小,常用公式如下:

式中 K——刀片的磨钝系数,σb<1000MPa时,K=1.15~ 1.20;σb=1000~1500MPa时,K=1.5;

σb——被剪金属的抗拉强度(MPa);

δ——被剪金属的伸长率;

h——被剪板厚(mm);

φ——剪切角(°);

y——刀片间隙的相对值,y=△/h;△为刀片间隙(mm);

x——压料脚距离的相对值,x=c/h,在初步计算时,可采用x=10;c为压料脚轴线到下刀刃的距离(mm),从表4-2中查得;

表4-2 压料脚轴线到下刀刃的距离 (mm)

Z——弯曲系数,按图4-7上的曲线来确定。Z与被剪下条料的长度L、剪切角φ,被剪板厚h以及被剪金属的伸长率δ有关。当λ=tanφ/δh≈15时,Z=0.95。

图4-7 弯曲系数

表4-3所列的数字是σb=500MPa,δ=22%的斜刃剪切机的总剪切力,可供初步选择时参考。

表4-3 斜刃剪切机的剪切力

(2)压料力

压料筒在剪切时可使压脚压紧板料,防止板料翻转。压料力不足,被剪板料在剪切过程中将产生位移,使板边尺寸偏差增大;压料力过大,表面产生压痕,增加了机架和压料梁上的载荷。

(3)剪切角

剪切角对剪板条的变形影响很大,剪切角小时剪切质量较好,剪切角大时质量较差。剪切角小时剪切力大,现代剪切机的剪切角为1°~3°。机械传动和液压-机械传动的剪切机在大多数情况下剪切角是不可调的。液压传动的剪切机一般是可调的,调节之前,需将刀架行程量调到最大位置后,再按动剪切角增大或减小按钮,其数值在机器操纵板上显示。

3.剪切机

根据刀架的运动轨迹基本上可分四种:

①刀架沿着垂线运动,如图4-8(a)所示,由于没有前倾角,因此上刀片断面必须做成菱形,只有两个刃(四个刃的矩形刀片也可用,但剪切质量差),这种刀架剪切的断口与板面不成直角。

图4-8 刀架运动轨迹

②刀架沿着前倾线(与垂线夹角为1°30′~2°)运动,如图4-8(b)所示,上刀片断面可做成矩形,具有四个刀刃,剪切的断口基本上与板面成直角。

③刀架沿着圆弧线摆动,如图4-8(c)所示,剪切刀片断面宜做成菱形,只有两个刀刃,由于上刀片在剪切过程中略有前倾,因此剪切质量与上面的一种相仿。

④刀架沿着圆弧线摆动,但前倾角可达30°,因此可以剪出焊接坡口[图4-8(d)]。

中小规格的机械传动剪切机的维护简便、行程次数高,成本较低。国产Q11-12×2000剪切机如图4-9所示。机架为钢板焊接整体结构,刀架沿圆弧摆动,因此刀片间隙通过刀架摆动支点的偏心轴得到调整,结构简单,调节方便。压料装置采用液压结构。

图4-9 Q11-12×2000剪切机

液压传动剪切机有较多的优点:

①工作安全,可以防止因超载而引起的机器事故。

②操作方便,可以实现单次行程、连续行程、点动和中途停止并返程等动作,因此易于实现单机自动和用于流水线上工作。

③机器的体积小、重量轻、制动容易。

④机器振动小,工作平稳,刀具寿命长。随着液压元件质量的改善,今后液压剪切机将会增加。

液压-机械传动剪切机采用摆动式刀架,如图4-10所示。由于采用摆动支点,省去了导轨,便于调整刀片间隙,剪切时刀架运动略有前倾,使刀片磨损减少并使后挡料板得到微小的后让。由于刀片必须安装成弧面,安装时必须注意使刀片间隙全长均匀,以免接头不齐使刀片过早磨钝。

图4-10 摆动式刀架

为在板料上剪出所需的角形(图4-11),采用角形剪切机,机器如图4-12所示。两个上刀片按角度固定安装在上刀架上(图4-13),下刀片固定在工作台板上。由液压驱动上刀架,使其作上

图4-11 角形剪口

下剪切运动,在工作台上有两个可移动调节的坐标挡块,用于板料定位,以便切出所需角形。

图4-12 角形剪切机

图4-13 上刀架

随便看

 

离鸟网收录3541549条中英文词条,其功能与新华字典、现代汉语词典、牛津高阶英汉词典等各类中英文词典类似,基本涵盖了全部常用中英文字词句的读音、释义及用法,是语言学习和写作的有利工具。

 

Copyright © 2004-2024 vtrois.com All Rights Reserved
更新时间:2026/4/17 17:39:44