网站首页  词典首页


请输入您要查询的字词:

 

字词 剂量计量基准
类别 中英文字词句释义及详细解析
释义

剂量计量基准


1.电子平衡

对于剂量测量,电子平衡是一个重要概念。电子平衡定性地叙述为:电离辐射入射到体积为V的某物质中,辐射在该物质中的小体积元ΔV内击出次级电子,在体积ΔV内辐射的释放出的能量变成次级电子的动能。由于次级电子有相当的射程,它的能量未能全部沉积在ΔV内,有部分能量消耗在ΔV外,然而这部分损失的能量可以由起源于ΔV外的次级电子沉积到ΔV内的能量全部补偿。在此情况下,沉积在ΔV内的能量(亦即被ΔV内物质吸收的能量)就等于电离辐射在该体积中所释出的能量,这时称体积ΔV内存在着电子平衡。

达到电子平衡的条件是:在ΔV周围辐射场是均匀的,且ΔV周围的介质厚度(即体积ΔV的边界到体积V的边界间的距离)等于或大于次级电子在该介质中的最大射程。只要满足上述的带电粒子平衡条件,在体积ΔV内即能达到电子平衡。测量剂量学量的仪器探头,都必须满足电子平衡条件,才能对辐射场进行准确、可靠的测量。

2.照射量基准

照射量基准严格按照照射量的定义来测量照射量,必须完全满足电子平衡条件,因此只有在X、γ射线的能量低于3MeV而又高于几个keV时,才能较严格地在实验上创造电子平衡条件,精确地按定义测量照射量。

测量5~50,50~250kV的软及中能x射线的国家照射量基准由自由空气电离室、X光机、验证电离室及相应的电荷测量系统和检定设备组成。自由空气电离室是按照射量的定义,测定X射线在空气体积V中产生的电离电荷,自由空气电离室测出的照射量X为:

X=Jair·πKi

Jair是体积V中单位质量干燥空气中产生的电荷;πKi是考虑到与理想的定义条件的差别面引入的无量纲修正因子。现在用平行板自由空气电离室测量照射量的总不确定度<1%。

随着X射线能量的增加,次级电子在空气中的射程增长,用平行板自由空气电离室按照照射量的定义,测量像137Cs、60Co源所产生的γ射线时,要达到电子平衡条件,技术上遇到很大困难。因此就按照Bragg-Gray原理,用原子序数和空气的等效原子序数几乎相等的石墨作为室壁材料制成的空腔电离室测量。由空腔电离室得出的照射量为:

式中 Jair:空腔中单位质量空气中产生的电离电荷;:室壁材料相对空气的有限制碰撞阻止本领比;:空气与室壁材料的平均质能吸收系数比;

β:比释动能与吸收剂量之比;

Kwall:室壁减弱修正;

πKi:其它无量纲修正因子。

空腔电离室有球形、圆柱形、扁平盒等形状,测量照射量的总不确定度<1%。

3.比释动能的测量

按照比释动能的定义,比释动能K与能注量Ψ之间的关系可写为:

K=Ψ·(μtr/ρ)

μtr/ρ为质能转移系数,而照射量与能注量之间的关系可写作:

X=Ψ·(μen/ρ)·e/w

式中:μen/ρ为质能吸收系数;e是基本电荷;μ是空气中形成一对离子所平均消耗的能量。而

μtr/ρ(1-g)=μen/ρ

g为在物质中次级电子的能量以轫致辐射形式损失的分数。

所以

K=X·(1-g)-1·w/e

上述测量照射量的基准测量值乘以(1-g)-1及w/e两个常数后,即为测比释动能的基准。

w/e=(33.97±0.05)JC-1

4.吸收剂量的测量

(1)量热计法:

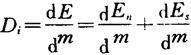
量热计法是计量在一小块被照介质中的吸收剂量的一种基本方法。如果这一小块介质和物质的其它部分是绝缘的,那么在这一小块介质(吸收体)中的吸收剂量可表示为:

式中 Dt是材料i、质量为dm的吸收体中的吸收剂量;

dE是电离辐射给予这块吸收体的平均能量;

tlEn是以热能形式出现的能量;

dEs是转变为其它形式的能量(热损)。

量热计是利用装在吸收体上的加热线圈和热敏电阻来计量量热计在辐照中产生的温升ΔT,以对量热计刻度。在dEs=0时;

式中 Cp是吸收体的比热。目前多选用石墨制成吸收体及周围的屏蔽体,构成石墨量热计。测定石墨介质的吸收剂量,总不确定度为:(0.5~1.2)%(2σ)。

(2)电离室法:

电离室法中把石墨空腔电离室放至石墨模体中,在电离室有效中心处,测到该点的石墨吸收剂量为:

式中 dQ/dm,电离室空腔中单位质量空气中产生的电荷;

w:形成每对离子平均消耗的能量;

e:基本电荷;:室壁材料与空气的碰撞阻止本领比。

电离室法测石墨吸收剂量的总不确定度亦可达到0.5~1.0%。

(3)化学方法

在放射治疗和放射生物及其它辐射应用领域,为了吸收剂量的标准化,国际辐射单位与测量委员会选定水作为标准物质。一般说来直接测量水的吸收剂量有很大困难。因此长期以来是先测量某种从性质上来说对所用剂量学方法更为适宜的参考材料的吸收剂量(通常是石墨),然后从参考材料中测出的吸收剂量来确定水的吸收剂量。为了直接测量水的吸收剂量,研究过各种结构的水量热计。还常用稀水溶液化学剂量计来测量水的吸收剂量。硫酸亚铁化学剂量计就属于这种稀水溶液化学剂量计,它的详细原理即测量方法已在第10.2.4节第5小节中介绍(见Frick剂量计)。

【参考文献】:

[1]ICRU,Radiation quantities and units,ICRU,Report 33(1980).

[2]ICRU,Neutron dosimetry for biology and medicine.ICRU,Report 26(1977)

[3]ICRU. Determination of dose equivalents resulting from external radiation sources, Report 39 (1985).

[4]ICRU,Determination of dose equivalents resulting from external radiation sources,Part 2,Report 43(1988).

[5]Quantities and units in radiation protection dosimetry. ICRU,Report 51(1993).

[6]ICRP.1990 Recommendations of the ICRP Publication 60(1991).

[7]ISO—8529, Neutron reference radiation for calibrating neutron measuring devices used for radiation protection purpose and for determining their response as a function of neutron energy.

[8]IEC—1005,Portable neutron ambient dose equivalent ratemeter for use in radiation protection (1990).

[9]IAEA,Guideline on calibration of neutron measuring devices, IAEA Technical Reports Series No. 285(1988).

[10]卢希庭,原子核物理,原子能出版社,1981。

[11]梅镇岳,原子核物理学,科学出版社,1961。

[12]Mann,W. B. ,A handbook of radioactivity measurements procedures,NCRP Report 58(1985).

[13]Johnson C. H. ,Fast Neutron Physics,Part I,Interscience Publisher (1960).

[14]Knoll,G. F. , Radiation Detection and Veasurement, 2nd Ed.,John Wiley & Sons(1989).

[15]Attix,F.H. , Tochlin, E. , Radiation Dosimetry. Vol.1-4,Academic Press ,New York(1968).

随便看

 

离鸟网收录3541549条中英文词条,其功能与新华字典、现代汉语词典、牛津高阶英汉词典等各类中英文词典类似,基本涵盖了全部常用中英文字词句的读音、释义及用法,是语言学习和写作的有利工具。

 

Copyright © 2004-2024 vtrois.com All Rights Reserved
更新时间:2026/4/17 21:42:36