网站首页  词典首页


请输入您要查询的字词:

 

字词 (刺)槐豆胶
类别 中英文字词句释义及详细解析
释义

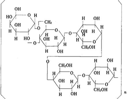
(刺)槐豆胶


结构式:

相对分子质量:300000~360000

槐豆胶的鉴别

1.操作步骤

1.1 取本品2g放入400g烧杯中,用约4mL异丙醇湿润,在剧烈搅拌下,加入冷水200mL,继续搅拌至均匀分散,形成乳色微粘性溶液。

1.2 取上述溶液100mL,转入另一个400mL烧杯中,在沸水浴中加热此混合物约10min,冷至室温,急速研磨树胶,粘性明显增加(区别于瓜尔豆胶)。

随便看

 

离鸟网收录3541549条中英文词条,其功能与新华字典、现代汉语词典、牛津高阶英汉词典等各类中英文词典类似,基本涵盖了全部常用中英文字词句的读音、释义及用法,是语言学习和写作的有利工具。

 

Copyright © 2004-2024 vtrois.com All Rights Reserved
更新时间:2026/4/17 21:42:35