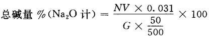
1.总碱量
用吸移管吸取50ml上述溶液,置于300ml的锥形瓶中,加入1~2滴0.1%甲基橙指示剂,用0.5mol/L盐酸标准溶液滴至恰现红色。

式中:V——滴定时所耗用的盐酸标准溶液数(ml);
N——盐酸标准溶液的浓度(mol/L)
G——试样重(g);
0.03——1mmol氧化钠的1mmol的克数。
2.氢氧化钠
用吸移管吸取50ml上述试液于250ml溶量瓶中,加入20ml10%氧化钡溶液,摇匀,再加入新煮沸而已冷却的蒸镏水稀释至刻度,摇匀,静置,以便碳酸钡沉淀。吸取澄清液100ml于300ml的锥形瓶中,加入5滴1%的酚酞指示剂,用0.5mol/L盐酸标准溶液滴定至红色消失。

式中:V——滴定耗用的盐酸标准溶液量(ml);
N——盐酸标准溶液的浓度(mol/L);
G——试样重(g);
0.04——氢氧化钠的mmol的克数。
3.碳酸钠
由总碱量减去氢氧化钠,即得碳酸钠(%):
Na2CO3(%)=总碱量Na2O%×1.7099-NaOH%×1.3249