分块矩阵
设A是m×n矩阵,在行的方向分成s块,列的方向分成t块,则称A为s×t分块矩阵,记作Am×n=(Akl)s×t,其中Akl(k=1,2,…,s;l=1,2,…,t)称为A的子块.
常用分块法
1.按行分块

其中αi=(ai1,ai2,…,ain)(i=1,2,…,m).
2.按列分块

其中βj=(a1j,a2j,…,amj)T(j=1,2,…,n).
3.准对角矩阵(对角块矩阵)

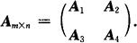
4.2×2矩阵

分块矩阵的运算
1.分块矩阵的加法
设A,B是同型矩阵,且分块方法一致,有

则

2.数与分块矩阵的乘法

3.分块阵的乘法
设A是m×s矩阵,B是s×n矩阵,且A的列的分法与B的行的分法一致,即

其中Ai1,Ai2,…,Ail的列数分别与B1j,B2j,…,Blj的行数相等,则

其中
.
4.分块矩阵的转置

5.分块矩阵的逆


,其中B,D可逆,则A可逆,且

,利用定义,可求得X,Y,Z,W,从而求得A
-1.)
6.分块矩阵的行列式
设A是n阶矩阵,B是m阶矩阵,则

当m=n时,因n2和n有相同的奇偶性,故
