为量化调查数据,在对样方取样数据进行处理时运用了田间均度、平均密度、频率等三种指标。而样线频率直接采用调查所得频率。
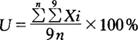
1.田间均度(U) 某种杂草在调查田块中出现的样方次数占总调查样方数的百分比。

式中 U——田间均度;
n——调查田块数;
Xi——某种杂草在调查田块i中出现的样方次数;
9——调查样方数。
2.田间密度(MD) 某种杂草的田间密度(株数/米2)为这种杂草在各调查田块样方中的平均密度之和与调查田块数之比。

式中 MD——田间密度;
Di——某种杂草在调查田块i中的平均密度(株数/米2);
n——调查田块数。
3.田间频率(F) 某种杂草的田间频率为这种杂草出现的田块数占总调查田块数的百分比。

式中 F——频率;
n——调查田块数;
Yi——某种杂草在调查田块i中出现与否,出现记为1,未出现则为0。
为便于比较某种杂草在杂草群落中所占的比重,还得引用相对多度(RA)的概念。某种杂草的相对多度为这种杂草的相对频率(RF),相对均度(RU),相对密度(RD)之和。

即:
RA=RF+RU+RD
例如,野燕麦在调查区域的相对多度为:
RA野燕麦=RF野燕麦+RU野燕麦+RD野燕麦