网站首页  词典首页


请输入您要查询的字词:

 

字词 冲压件
类别 中英文字词句释义及详细解析
释义

冲压件


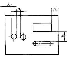
2.1.4.1 冲裁件的结构要素

冲裁件的结构要素见表2-70.

表2-70 冲裁件的结构要素(摘自JB4378—87)

图2-11 冲裁件的圆角半径

图2-12 凸出和凹入尺寸

图2-13 孔边距和孔间距尺寸

图2-14 端头圆弧尺寸

表2-71 冲孔的尺寸

2.1.4.2 平冲压件的公差

经平面冲裁工序加工而成平面形的冲压件称平冲压件,其长度、直径、圆弧尺寸及冲裁角度分为A、B、C、D四个精度等级.平冲压件的公差适用于平冲压件冲压工序,也应用于成形冲压件的平面冲裁工序的平面尺寸.平冲压件长度、直径的极限偏差见表2-72.冲裁圆弧半径R的极限偏差见表2-73.

表2-72 平冲压件长度、直径的极限偏差(摘自JB4379—87) mm

表2-73 冲载圆弧半径R的极限偏差 mm

2.1.4.3 冲压件的合理结构

冲压件的合理结构见表2-74.

2.1.4.4 拉深件

利用模具使平板坯料变成开口中空零件的冲压方法称为拉深.用拉深方法可以制成筒形、阶梯形、锥形、方盒形等多种形状的薄壁零件,如汽车盖板、仪表壳体、生活用器皿等.在实际生产中,拉深与其他工艺结合可以制出十分复杂的零件.

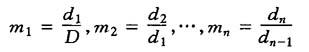
1.拉深系数和拉深次数的确定

通常将零件直径d与坯料直径D之比称为拉深系数,用m=d/D表示.m越校则变形程度越大,在实际生产中,希望在保证不出现拉伸缺陷的前提下,采用较小的拉深系数,以减少拉深次数,简化工艺.表2-75所示为低碳钢的极限拉深系数(即最小拉深系数).

表2-74 冲压件的合理结构

表2-75 极限拉深系数值

对于m小于极限拉深系数的深腔拉深件(如弹壳、笔帽等),则难以一次拉成,因而常采用多道工序拉深成形.各道工序的拉深系数为:

总拉深系数为:

M=m1m2…mn=dn/D

必须指出,连续拉深道次不能太多,如低碳钢或铅,连续拉深道次不能多于4~5道次,且拉深系数应一次比一次大,必要时应安排中间退火.

2.坯料尺寸的确定

①修边余量

在计算坯料尺寸时,应先计算出修边余量δ(图2-15),再将工件形状展开,计算坯料尺寸.修边余量δ值可查表2-76.

表2-76 无凸缘圆筒形拉深件的修边余量δ mm

图2-15 修边余量δ

图2-16 筒形拉深件与坯料

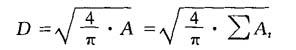
②坯料尺寸

如图2-16所示,筒形件坯料直径D可按下式确定:

式中 A——拉深件表面积;

Ai——拉深件分解成简单几何形状的表面积.

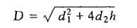
若忽略圆角r,粗略计算时,可龋

随便看

 

离鸟网收录3541549条中英文词条,其功能与新华字典、现代汉语词典、牛津高阶英汉词典等各类中英文词典类似,基本涵盖了全部常用中英文字词句的读音、释义及用法,是语言学习和写作的有利工具。

 

Copyright © 2004-2024 vtrois.com All Rights Reserved
更新时间:2026/4/20 6:13:01