网站首页  词典首页


请输入您要查询的字词:

 

字词 冲击试验方法
类别 中英文字词句释义及详细解析
释义

冲击试验方法


冲击试验最常用的有简支梁式、悬臂梁式和落球冲击等方法。

(一)简支梁式冲击试验方法塑料冲击试验方法,详见GB1043-79。试样为无缺口和矩形缺口的长条,尺寸见表10-3-3。

表10-3-3 冲击试样

注:对板材试样,厚度在3mm以下者不做冲击试验;厚度大于10mm者应从一面加工成10±0.2mm。

试验装置如图10-3-3所示。

图10-3-3 冲击试验装置

1-冲锤 2-试样 3-支座

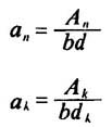
试样缺口应背向并对准冲击刀口。调节支座,使其跨度分别等于70mm(大试样和板材试样)和40mm(小试样),并且使摆锤打击中心与试样被打击面的中心相重合。试样被冲断以后,读取所消耗的能量,并用下式计算试样的冲击强度。不破断的试样应作废。

式中 an——无缺口试样冲击强度(kgf·cm/cm2)

ak——缺口试样冲击强度(kgfcm/cm2)

An——无缺口试样消耗的能量(kgf·cm)

Ak——缺口试样消耗的能量(kgf·cm)

d——无缺口试样厚度(cm)

dk——缺口试样剩余厚度(cm)

此试验方法只能适用于能冲断的材料,所以无缺口试样只适用脆性材料,缺口试样则适用一般韧性材料。韧性好的材料,即使采用缺口试样也不能冲断,可采用悬臂梁式冲击试验。

(二)悬臂梁式冲击试验方法

采用带V形缺口的长条试样,长63.5mm;厚12.7mm;宽3.17~12.7mm。缺口尺寸见图10-3-4,试验装置见图10-3-5。

图10-3-4 缺口形状和尺寸

图10-3-5 冲击试验装置

1-冲锤 2-固定台 3-试样 4-可动台

试样被冲断后读取所消耗的能量,并按下式计算冲击强度a1:

a1=A/b(kgf·cm/cm2)

式中 a1——冲击强度(kgf·cm/cm2)

A——消耗的能量(kgf·cm)

b——试样的宽度(cm)

由于试样被冲断后,未被夹持的自由端具有动能,能飞出一段距离,脆性材料尤为明显。自由端飞出所消耗的能量称作飞出功,它是消耗的总能量的一部分。因此在计算试样断裂能量时应从消耗的能量减去飞出功。对冲击强度小的脆性材料其飞出功占总消耗能量的很大一部分,对试验结果影响很大,所以ISOR180试验方法中规定冲击强度小于2.75kgf·cmcm2时,需要进行飞出功的修正。

飞出功的测定方法如下:将断裂的自由端放在夹持端上,把摆锤放到冲击后摆锤上升的高度,对自由端进行第二次冲击,两次读数之差即为飞出功。

(三)落球(重)冲击试验方法

落球(重)冲击试验是指一定重量的钢球(或冲击端具有规定形状的重物)由不同高度自由下落,冲击到平放的膜状或板状试样上,或从一定高度用不同重量的钢球(或重物)自由下落到试样,测定试样刚好被击破时的能量(重量×高度)。取破裂百分数为50时的冲击能,作为试样的冲击强度。在产品质量控制检验中常采用一定重量的钢球,从一定高度自由下落冲击试样,试样不破裂的为合格产品,否则为不合格。

随便看

 

离鸟网收录3541549条中英文词条,其功能与新华字典、现代汉语词典、牛津高阶英汉词典等各类中英文词典类似,基本涵盖了全部常用中英文字词句的读音、释义及用法,是语言学习和写作的有利工具。

 

Copyright © 2004-2024 vtrois.com All Rights Reserved
更新时间:2026/4/18 14:08:02