网站首页  词典首页


请输入您要查询的字词:

 

字词 兑卤比例的确定
类别 中英文字词句释义及详细解析
释义

兑卤比例的确定


兑卤比例主要指苦卤与光卤石母液的掺兑比例。生产系统中副生的各种卤水,一般是在兑卤过程中将其均匀兑入的。

确定兑卤比例的依据有二:一是兑卤后的混合卤中MgCl2/KCl比值不低于10,MgSO4/MgCl2比值不高于0.35。硫酸镁在蒸发过程中是析出组分,氯化钾和氯化镁都是未析出组分,因而MgSO4/MgCl2比值是变化的,MgCl2/KCl比值在保温固液分离前是不变的。为便于生产控制分析,主要控制MgCl2/KCl比值,此时MgSO4/MgCl2比值也都在0.35以下,能满足工艺要求。二是蒸发完成液中固液比以不高于15%为宜。否则将影响蒸发罐内料液循环速度,降低传热系数,甚至堵塞管道、阀门,影响正常操作。

现将兑卤比例的确定举例说明如下:

1.参与兑卤的几种卤水组成见表6-2-4。

表6-2-4 苦卤、光卤石母液、分解液及洗涤液组成

2.设氯化钾的回收率为75%(一般为70~80%),每产1t纯度为90%的氯化钾,

副产分解液6m3、洗涤液1.5m3

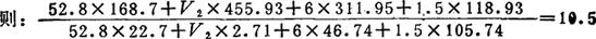
3.根据混合卤中MgCl2/KCl比值不低于10的工艺要求,考虑生产的波动性,确定MgCl2/KCl为10.5。

4.计算每产1t含纯90%的氯化钾所需苦卤量V1(m3):

5.根据选定的混合卤中MgCl2/KCl=10.5,求出兑入光卤石母液体积V2

解得V2=14.6(m3)

6.根据苦卤和光卤石母液使用量求出兑卤比例。

苦卤:光卤石母液=52.8∶14.6≈7.84∶2.16

为便于生产上控制,兑卤比可取8∶2。

以上是根据混合卤中MgCl2/KCl比值计算出的兑卤比例,能否满足蒸发完成液中固液比的要求呢?生产实践表明:使用30°Bé以上的苦卤时,按上述方法计算的兑卤比例能同时满足完成液中固液比的要求;若苦卤波美度在30°Bé以下,应适当增兑光卤石母液。

随便看

 

离鸟网收录3541549条中英文词条,其功能与新华字典、现代汉语词典、牛津高阶英汉词典等各类中英文词典类似,基本涵盖了全部常用中英文字词句的读音、释义及用法,是语言学习和写作的有利工具。

 

Copyright © 2004-2024 vtrois.com All Rights Reserved
更新时间:2026/4/18 13:11:02