网站首页  词典首页


请输入您要查询的字词:

 

字词 光电测距的基本原理
类别 中英文字词句释义及详细解析
释义

光电测距的基本原理


1.脉冲式测距

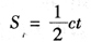
光电测距是一种通过测定光波(电磁波)在两点间传播的时间来计算距离的技术,由此原理制作的以光波为载体的测距仪叫光电测距仪。

如图18-26所示,欲测定A,B两点间的距离时,将测距仪主机安放在一端A点,另一端点B安放反射棱镜,则其距离S可按下式计算:

A,B点一般为不同高程,光电测距测定的为斜距S。通过垂直角观测,可将斜距归算为平距D和高差h。

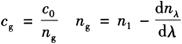
光在真空中的传播速度(光速)为一个重要的物理量,通过近代科学实验可知,光在真空中传播速度的精确值为c0=299792458±1.2m/s,在大气中的传播速度为:

c=c0/n

式中 n——大气折射率。

n是光的波长λg、大气温度t和大气气压p等的函数,即:

n=f(λg,t,p)

红外测距仪可采用砷化镓(GaAs)发光二极管发出的红外光作为光源,其波长λg=0.82~0.93μm(作为一架具体的红外测距仪,则为一个定值)。由于影响光速的大气折射率随大气的温度、气压而变,因此,在光电测距作业中,必须测定现场的大气温度和气压,对所测距离做气象改正。

光速是接近于3.0×105km/s的已知数,其相对误差甚小,测距的精度主要取决于测定时间t的精度。例如,利用先进的计数式电子脉冲技术,能精确测定到±10-8,由此引起的测距误差为±1.5m。近年来出现的计时式脉冲精密光电测距技术已能够达到亚厘米级的测距精度。为了进一步提高光电测距的精度,可采用精度较高性能较稳定的间接测时方法——相位法测时,据此测定距离称为相位式测距。

2.相位法测距

在式中将t使用载波频率、相位变化总量表示后,得到相位法测距的一般公式

如下,激光调制如图18-27所示。

图18-26 光电测距

图18-27 激光的调制

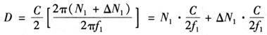
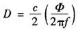
由式n=f(λg,t,p)可知,所谓相位法测距就是间接地测定调制光波经过时间t产生的相位移Φ来代替测定时间D,从而求得光波所走过的路程。在图18-28中,A表示调制光波的发射点,B表示安置反射器的测点,A′表示所发出的调制光波经反射器反射后的接收地点(实际上,A点就是测距仪中的光波发射点,A′点就是测距仪中光波的接收点)。A-A′两点间的距离就是光波所走过的路程,它等于需测距离D的两倍。所以相位移Φ实际上就代表了光波走过往返距离时所需的时间t2D。由图18-28可知,当用较短波长的光波测量时

(图中实线波),则得:

Φ=N1·2π+△φ1

=2π(N1+△N1)

式中 N1——零或正整数;

φ1——不足整周期(2π)的相位尾数。

将Φ代入求D式中,则得:

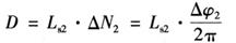
因为1,令,称为单位长度(也称为测尺长度),则上式可变为:

D=Ls1·N1+Ls1·△N1

图18-28 相位式光电测距原理

该式说明,测量距离D的问题就变成了求调制波在往返距离上所经过的光波个数N1及不足光波长Ls1的尾数(△N1·Ls1)的问题。形象地说,用波长为λ11=2Ls1)的调制波长测量距离,就好像我们通常用50m(或30m、100m等)长的钢尺丈量某段距离一样,先记住量了几个整尺长,再量取不足整尺长的尾数,最后将两者结合起来就是我们所需求得的完整距离。例如,有一段距离为276.34m,用50m钢尺去丈量,可知D中共包含5个整尺,所余尾数为26.34m。则得:

D=50×5+26.34=276.34

将上式和式D=Ls1·N1+Ls1·△N1加以对照,可以看出,50m就相当于N1·Ls1相当于5,△N1·Ls1相当于26.34m。

由于任何测量交变信号相位移的方法都不能测记所经过的整相位数,即无法确定相位移Φ中包含的2π的整倍数N1,而只能确定不足整周期(2π)的尾数值△φ1。就好像测距仪这个“测量员”在量距时,只记住了测量的尾数26.34m,而记不住测量5次整尺一样。显然,在距离D大于测尺长度Ls1的情况下,只用具有一个测尺长度的测距仪去测量距离D,就无法确定D中所包含的尺长Ls1的个数N1,因而式D=Ls1·N1+Ls1·△N1就产生不定解(即产生了多值性)。诚然,如果将测尺长度增长,使得距离D小于测尺长度Ls2时,该式中N将等于零(图18-28的虚线波所示),于是该式将变为:

此时,由于△φ2总是小于2π,相位测量装置能给出确定值,使距离变为单值解。由此可得到启示,当待测的距离较长时,为了既保证必需的测距精度,又不使距离测量结果产生不定解,考虑到无论哪种测相系统都有测相误差,可以在测距仪中设置几种不同的测尺频率,即相当于设置了几把长度不同、最小分划值也不相同的尺子,用它们同测某段距离,然后将各自所测的结果组合起来,就可得到单一的、精确的距离值。

例如,为了测量276.34m的这段距离,我们选用了两把精度皆为1‰的尺子,一把尺长为Ls1=10m,精度为1cm;另一把尺长为Ls2=1000m,精度为1m。用Ls2测量时得270m,用Ls1测量时得6.34m,组合结果得到完整距离值D为276.34m。

3.测尺频率的方式

如上所述,为使测距仪所测的距离能满足不同的测程和精度要求,仪器内必须设置一组测尺长度——测尺频率。目前,在各种类型的长、中、短程测距仪中,测尺频率的方式基本上有两种:分散的直接测尺频率方式和集中的间接测尺频率方式。

(1)分散的直接测尺频率方式

中、短程相位式光电测距仪一般都采用这种测尺频率方式。例如,某短程红外测距仪采用的测尺频率及其对应的测尺长度为:

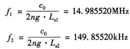
精测频率:f1=15MHz,对应的精测尺长:

精测频率:f2=150kHz,对应的粗测尺长:1000m。

此例说明,测尺频率和测尺长度直接相对应,即测尺长度可直接由测尺频率来确定,而且各测尺频率之间相差较大(即较分散),所以,称这种选择频率的方式为“分散的直接测尺频率方式”。

在测相精度一定的条件下,如要进一步扩大测程,而且又保持测距精度不变,就必须增加测尺频率,见表18-5。

表18-5 分散的直接测尺频率

(2)集中的间接测尺频率方式

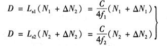
由上表可知,此时最高测尺频率和最低测尺频率之间相差悬殊(达104倍),使得放大器和调制器难以对各种测尺频率具有相同的增益和相移稳定性。而测程小于20km的中、短程测距仪,由于测尺频率数目较少,分散性也不大,故其测尺频率的选择多采用分散的直接测尺频率方式。对于长程测距仪,为了避免测尺频率过于分散,采用集中的间接测尺频率方式。当我们用f1和f2两个测尺频率的光波分别测量同一段距离时,则得两波的相位移分别为:

Φ2=2πf2t=2π(N2+△N2)

Φ1=2πf1t=2π(N1+△N1)

其相位移之差为:

φ1-Φ2=2π[(N1-N2)+(△N1-△N2)]=2π(N+△N)

式中 N=N1-N2,△N=△N1-△N2

若用(f1-f2)差频作为光波的调制频率,其相位移为:

φ′=2π(f1-f2)t=2π[(N1-N2)+(△N1-△N2)]=2π(N+△N)

因以上两式相等,故得:

φ=△φ

上式说明,对同一段距离作相位法测量时,两个测尺频率分别测相的相位尾数之差△φ,等于以这两个测尺频率的差频来测相而得到的相位尾数△φ′。

由前述可知,当我们用f1和f2两个测尺频率的光波测量同一段距离时,可得到:

将两式变换并相减,则得:

式中 fs——相当测尺频率(其中及称为间接测尺频率),fs=f1-f2

Ls——相当测尺长度

N=N1-N2

△N=△N1-△N2

此式即为以差频(f1-f2)作为新测尺频率fs(也称相当测尺频率)的距离公式。

在表18-6中,列出了我国生产的精密激光测距仪中所采用的5个间接测尺频率、相当测尺频率和测尺长度。

表18-6 几种精密激光测距仪间接测尺频率

由上表可知,这种方式中各测尺频率的最大差值仅3MHz,因此,不仅放大器能对各频率获得相接近的增益,调制器对各频率的相移也较稳定,而且各频率石英晶体的类型也可以统一,这对仪器的生产制造是有利的。

4.测尺频率的确定

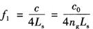
测尺频率方式选定之后,就必须解决各测尺长度及测尺频率的确定问题。一般将用于决定仪器测距精度的频率称为精测频率(或称基本测尺频率),而将用于扩展测程的频率称为粗测频率(或称辅助测尺频率)。

对于采用分散的直接测尺频率方式的测距仪,精测频率的确定主要考虑仪器的精度指标、测相精度、电路元件的高频性能,以使确定的测尺长度便于计算。粗测频率则主要考虑测相精度、测量结果的准确衔接以及仪器的测程,还要使确定的测尺长度便于计算。例如,短程半导体红外测距仪,确定精测尺长Ls1=10m,粗测尺长Ls2=1000m。

此时,测尺频率可依下式确定:

式中 c——光波(或电磁波)在大气中的传播速度;

n——大气折射率,它是大气的温度t、压力p、湿度e及波长的函数;

fi——调制频率(测尺频率);

c0——光波在真空中的传播速度。一般均取c0=299792458±1.2m/s。

为求得在给定气象条件下的光速值c,一般选取气象参考点为:t=0℃或15℃,p=760mmHg,(湿度)。

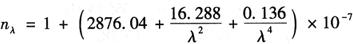
对于非调制的单色光在上述气象条件下的大气折射率为:

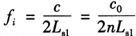
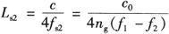
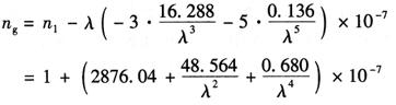
根据国际大地测量协会的决定,对调制光一律采用群速cg,相应于群速cg的大气折射率ng,可按下式计算:

将求nλ的原式及它的微分式代入上式,得:

半导体GaAs发光的光波长为0.93μm。利用式,并分别代入相应的测尺长度10m及1000m后,即可求得对应的精测频率及粗测频率为:

按集中的间接测尺频率方式,确定测距仪中精测频率与间接测尺频率的原则同前述。由于这类仪器的测相周期为π,所以此时精测尺Ls长应用下式计算:

为了计算方便,这类测距仪的精测尺一般取Ls=2.5m。特别是:若采用波长为6328×10-10m的He-Ne激光作光源,按照前述方法,即可求得给定气象参考点条件下的精测频率值f1

除精测频率f1外,一般还设置4个测尺频率,以求得相当测尺长度,从而确定式D=Ls(N+△N)中的N值。为了便于计算测量结果,相当测尺长度(也叫距离的概长值)选用十进制,即分别为25m、250m、2500m及25000m。由相当测尺长度的公式可得各间接测尺频率fi的表达式:

经变

将Ls2=25m及相应的c0、ng、f1值代入后,则得:

f2=f1-0.1f1=0.9f1

所以 f2=26.973227MHz

同理可得

f3=0.99f1=29.670550MHz

f4=0.999f1=29.940282MHz

f5=0.9999f11=29.967255MHz

随便看

 

离鸟网收录3541549条中英文词条,其功能与新华字典、现代汉语词典、牛津高阶英汉词典等各类中英文词典类似,基本涵盖了全部常用中英文字词句的读音、释义及用法,是语言学习和写作的有利工具。

 

Copyright © 2004-2024 vtrois.com All Rights Reserved
更新时间:2026/4/18 6:17:16