网站首页  词典首页


请输入您要查询的字词:

 

字词 傅里叶级数
类别 中英文字词句释义及详细解析
释义

傅里叶级数


傅里叶(Fourier)级数的定义

其中

称为f(x)的傅里叶级数.上式中an,bn称为傅里叶系数.

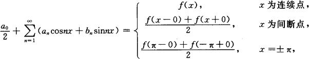
收敛定理(狄利克雷(Dirichlet)) 设f(x)是周期为2π的周期函数,如果它满足:

(1)在一个周期内连续,或只有有限个第Ⅰ类间断点.

(2)在一个周期内至多只有有限个极值点,则f(x)的傅里叶级数收敛于

其中an,bn为f(x)的傅里叶系数.

正弦级数与余弦级数

称为正弦级数,其中

称为余弦级数,其中

周期为2l的周期函数的傅里叶级数

(1)称为以2l为周期的f(x)的傅里叶级数,其中

(2)正弦级数与余弦级数

其中

称为正弦级数.

其中

称为余弦级数.

随便看

 

离鸟网收录3541549条中英文词条,其功能与新华字典、现代汉语词典、牛津高阶英汉词典等各类中英文词典类似,基本涵盖了全部常用中英文字词句的读音、释义及用法,是语言学习和写作的有利工具。

 

Copyright © 2004-2024 vtrois.com All Rights Reserved
更新时间:2026/4/18 12:05:29