网站首页  词典首页


请输入您要查询的字词:

 

字词 偏导数
类别 中英文字词句释义及详细解析
释义

偏导数


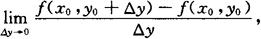
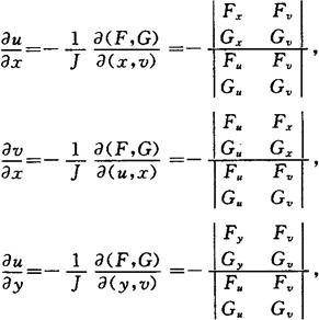
偏导数的定义 设函数z=f(x,y)在点(x0,y0)的某一邻域内有定义,当y固定在y0而x在x0处有增量△x时,相应地函数有增量f(x0+△x,y0)-f(x0,y0),如果

存在,则称此极限为函数z=f(x,y)在点(x0,y0)处对x的偏导数,记为

同理可定义函数z=f(x,y)在点(x0,y0)处对y的偏导数,

偏导函数的定义 如果函数z=f(x,y)在区域D内任一点(x,y)处对x的偏导数都存在,那么这个偏导数就是x、y的函数,它就称为函数z=f(x,y)对自变量x的偏导函数,记作

同理可以定义函数z=f(x,y)对自变量y的偏导函数,记作

在不发生混淆时也称偏导函数为偏导数.

偏导数的概念可以推广到二元以上函数 如u=f(x,y,z)在(x,y,z)处

偏导数的几何意义 设M0(x0,y0,f(x0,y0))为曲面z=f(x,y)上一点(如图9.2).

图9.2

偏导数fx(x0,y0)就是曲面被平面y=y0所截得的曲线在点M0处的切线Tx的斜率.

偏导数fy(x0,y0)就是曲面被平面x=x0所截得的曲线在点M0处的切线Ty的斜率.

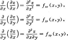
高阶偏导数 函数z=f(x,y)的二阶偏导数为

二阶及二阶以上的偏导数统称为高阶偏导数.

定理 如果函数z=f(x,y)的两个二阶混合偏导数在区域D内

连续,则在该区域内这两个二阶混合偏导数必相等.

多元复合函数链式求导法则

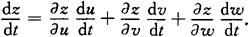
(1)如果函数u=φ(t)及v=ψ(t)都在点t可导,函数z=f(u,v)在对应点(u,v)具有连续偏导数,则复合函数z=f[φ(t),ψ(t)]在对应点t可导,且其导数公式为(中间变量是二元函数):

以上定理的结论可推广到中间变量多于两个的情况,如:

以上公式中的导数称为全导数.

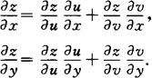
(2)如果u=φ(x,y)及v=ψ(x,y)都在点(x,y)具有对x和y的偏导数,且函数z=f(u,v)在对应点(u,v)具有连续偏导数,则复合函数z=f[φ(x,y),ψ(x,y)]在对应点(x,y)的两个偏导数都存在,且其偏导数公式为

隐函数存在定理

(1)F(x,y)=0

隐函数存在定理1 设函数F(x,y)在点P(x0,y0)的某一邻域内具有连续的偏导数,且F(x0,y0)=0,Fy(x0,y0)≠0,则方程F(x,y)=0在点P(x0,y0)的某一邻域内惟一确定一个单值连续且具有连续导数的函数y=f(x),它满足条件y0=f(x0),并有

(2)F(x,y,z)=0

隐函数存在定理2 设函数F(x,y,z)在点P(x0,y0,z0)的某一邻域内有连续的偏导数,且F(x0,y0,z0)=0,Fz(x0,y0,z0)≠0,则方程F(x,y,z)=0在点P(x0,y0,z0)的某一邻域内惟一确定一个单值连续且具有连续偏导数的函数z=f(x,y),它满足条件z0=f(x0,y0),并有

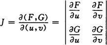
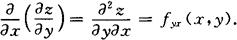
隐函数存在定理3 设F(x,y,u,v),G(x,y,u,v)在点P(x0,y0,u0,v0)的某一邻域内有对各个变量的连续偏导数,且

F(x0,y0,u0,v0)=0,G(x0,y0,u0,v0)=0,

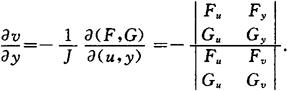
且偏导数所组成的函数行列式(或称雅可比式)

在点P(x0,y0,u0,v0)不等于零,则方程组

F(x,y,u,v)=0,G(x,y,u,v)=0

在点P(x0,y0,u0,v0)的某一邻域内惟一确定一组单值连续且具有连续偏导数的函数

u=u(x,y),v=v(x,y),

它们满足条件

u0=u(x0,y0),v0=v(x0,y0),

并有

随便看

 

离鸟网收录3541549条中英文词条,其功能与新华字典、现代汉语词典、牛津高阶英汉词典等各类中英文词典类似,基本涵盖了全部常用中英文字词句的读音、释义及用法,是语言学习和写作的有利工具。

 

Copyright © 2004-2024 vtrois.com All Rights Reserved
更新时间:2026/4/20 16:51:10