网站首页  词典首页


请输入您要查询的字词:

 

字词 信息技术
类别 中英文字词句释义及详细解析
释义

信息技术


信息是关于事物存在形式和运动状态的表达。我们处于信息的海洋之中,对于信息的认识和应用的水平,随着时代的进步而不断地提高。信息产业是高技术产业。为了更好地运用信息,我们必须掌握信息的收集、存储、处理、变换、再生和传递等技术,亦即需要了解和掌握硬设备以及相应的软件两方面的技术。

一、超大规模集成电路

当前,微米级精度的超大规模集成电路产品的生产,使用的是硅单晶材料,在生产过程中已有一套满足微米级精度的加工技术、相应的超精设备和仪器、超纯的硅单晶材料和生产辅助材料(水、气、化学制品等)、相应的纯净制作环境等。90年代,进入亚微米级精度产品的生产,对超精、超纯、超净三个方面都有新的要求,需要解决一系列技术关键。

超精加工方面,针对1μm精度产品所采用的紫外线为光源的曝光装置,虽然能力有些富裕(已生产出0.8微米精度的超大规模集成电路产品),但是已接近其能力的极限。为此,许多国家针对0.5μm精度产品的生产,都在大力开发采用波长更短的g线(波长为436nm),i线(波长为365nm)为光源的缩小投影式曝光装置,同时还在开发与之相应的干法刻蚀技术和设备以及检测仪器;研究开发与亚微米级精度相对应、膜厚不大于20nm的薄膜形成技术,氧化、掺杂技术以及相应的设备和检测仪器。

其次是,90年代超大规模集成电路生产用的主要材料仍将是以硅单晶材料为主(可能将有砷化镓新材料的使用),但是由于硅片尺寸的增大,必须解决直径150毫米以上大尺寸高精度硅片加工用的切片、研磨、抛光等设备,同时必须解决更高洁净度的制作环境和更高纯度的生产主、辅材料等问题。

最为重要的是,超大规模集成电路的设计技术必须有大的改进。由于产品的集成度越来越高、元器件数目不断增多,而且电路更为复杂,因此不可能采用人工方法进行设计。因而必须采用包括电路分析和模拟、逻辑分析和模拟、元器件分析、布局布线、工艺控制分析、自动检查、辅助制版、样品功能仿真、验证和评价等功能的、集成化的超大规模集成电路CAD系统,以缩短设计周期和保证产品一次投产成功率(专用集成电路的设计,对此要求更为迫切),提供完善的CAD系统已成为技术关键。再者,在设计方面,急需解决的关键技术有电路结构选择技术、简化结构设计技术、立体结构设计技术、控制功耗技术(防止产生过热点或热斑而导致失效)等。

二、新型计算机

电子计算机在电子信息产业中占主导地位,它是当今科学技术发展的一个重要标志。

自从1946年第一台电子计算机问世以来,计算机的硬件系统已经有了飞跃的发展。人们传统上习惯于按计算机的规模将其分类,即有中、大型计算机。其上有巨型计算机、小巨型计算机;其下有小型计算机、超级小型机、工作站;再下则有微型计算机、便携式计算机等。这些说明了50年来计算机的类型有了很大的发展,而且各种类型的计算机分别都获得了大的发展。但是由于超大规模集成电路的迅速发展,极大地提高了计算机的性能,体积缩小,功耗、成本降低,亦即使计算机的性能/价格比大幅度地提高。当前的超级小型计算机的性能已超过过去的大型计算机;现在的微型计算机的性能已超过原来典型的小型计算机,另一方面传统的小型计算机已经微型化,这就致使按规模划分计算机类型的传统界限变得模糊不清了。

再者,人们常常喜欢用“代”来表示计算机的发展过程,通常认为计算机已经经历了4代:第一代,以电子管为主要元件,使用机器语言,主要用于科学计算;第二代,以晶体管为主要元件,并开发了一系列程序设计的语言,引进多道程序技术,配置了具有管理程序的小型操作系统,应用领域扩展到数据处理、事务管理等方面;第三代,以集成电路为主要元件,软件功能有了大的扩充,大型操作系统问世,应用得到了进一步的普及;第四代,主要采用大规模集成和超大规模集成电路、半导体存储器,操作系统引进了数据库,功能进一步增强,与通信网络相结合,应用范围涉及社会生产、生活的各个方面。

回顾50多年来计算机经历了4代的发展,先进的电子元器件的开发和应用起了主导作用,成千上万倍地提高了计算机的运算速度和存储空间。当然,今后还将千方百计地发展超大规模集成电路技术,而且也会有象砷化镓元件、约瑟夫逊元件、光器件等新型元器件投入使用,但是单纯靠元器件来提高计算机运算速度的办法,终究是有限的。所以人们一方面继续不断地提高元器件工艺水平、改进材质,以提高基本逻辑部件的开关速度,同时将重点转向从计算机的设计思想、体系结构以及新原理等方面探讨开发新型计算机。在这方面已经取得了一系列成果,例如,精简指令集计算机、并行计算机,智能计算机、神经网络计算机等新型计算机。

三、软件工程

软件是相对于硬件而言的。对于电子计算机来说,硬件和软件犹如车辆的两个轮子缺一不可。硬件是物质基础,软件则担负着指挥功能。两者既分工又有配合,相辅相成地充分发挥着计算机的作用。

软件指的是与计算机系统有关的所有程序和文档资料。软件可分为系统软件和应用软件,它是用户与计算机之间的桥梁,是计算机系统的指挥者。

随着计算机技术的迅猛发展和应用领域的极大扩展,计算机软件的重要性越来越显露出来。在计算机发展的初期,程序并没有与硬件分离,软件的开发费用在整个系统中所占比重很小,处于硬件的一种附属品的地位。后来由于计算机硬件技术和应用领域的发展,硬件成本飞快地降低,对软件的需要大量增加,于是软件从硬件中分离出来,同时相应地出现了软件编制小组、软件公司等软件开发和生产单位。但是由于当时的软件编制工作处于手工作业方式,而且软件人员技术水平低,因而所提供的软件质量低、价格高、供应不及时。特别是软件逐渐趋向复杂、大型化以后,由于软件开发的计划进度和成本估计不准,使多数软件不能按时按预计价格提供,从而引起用户不满,也影响到软件开发者的信心;软件可靠性差,不能保证无差错,也缺乏可维护性;以及软件开发费用高,技术力量不足等。其实质是难以对软件的开发、维护过程进行控制,称谓“软件危机”。针对这些问题,从1968年开始,提出了软件工程的概念。

软件工程包括软件开发、维护所使用的原则、方法、工具和管理技术。它是70年代发展起来的一门新兴工程学科。它运用了人类所积累的科学知识和技术原理,特别是工程化技术来指导计算机软件的设计、构造以及编写有关的文档资料。其目标为摆脱软件生产的手工作业方式,实现软件开发、维护的自动化,以达到用较少的投资、尽快的速度生产出高质量的软件。

软件产品从形成概念开始,经过研制、交付使用以及使用中的不断增补、修订、完善,直到最后废弃,整个过程叫做软件生存周期,这是软件工程的一个重要概念。

软件生存周期中,每个阶段都规定有明确的任务,并产生一定规格的文档资料交给下一个阶段,而下一个阶段则是在前一个阶段的文档资料基础上继续开展工作。这些文档资料连同程序及数据则构成完整的计算机软件。

软件在生存周期的阶段划分有不同的方法,其中一种是把生存周期分为需求分析阶段、软件设计阶段、程序编写阶段、软件测试阶段、运行维护阶段等。这种阶段划法称为“瀑布模型”,它被广泛地采用着。

1.需求分析阶段

为了解决用户与软件人员之间缺乏共同语言的问题,通过需求分析阶段使两者相互理解、密切合作,充分了解用户的真正需要,共同弄清楚软件应该满足的一组性质和限制。需求分析阶段应当包括功能、性能、研制费用、研制周期等,这个阶段主要的是搞清楚应该做什么,所提出的文档是系统说明书,包含任务概述、需求规定、运行环境等,亦即任务、目标、限制等方面的内容。系统说明书的主要作用是作为用户和软件人员之间的合同、软件人员进行软件设计的基础、软件验收的依据。

2.软件设计阶段

软件设计是软件工程的技术核心。这个阶段主要解决如何做的问题。在充分理解软件需求的基础上,提出多种可行的设计方案,分析每种方案能实现的功能,从中选出在一定限制条件(例如研制费用、开发时间、可用资源等)下的最佳方案(即对易使用性、易维护性、可靠性、效率等能最大限度地满足),建立软件的体系结构(包括数据结构和模块结构)。复杂的软件应分为总体设计和模块设计,以便使体系结构逐步求精以及便于文档资料的编制和复查。这个阶段产生的主要文档资料是模块说明书和数据结构说明书。

3.程序编写阶段

软件的设计需要转换成计算机能执行的表达形式,即需要有程序编写。这个阶段主要是按模块说明书、数据结构说明书的要求,为每个模块编写程序,包括程序设计语言的选择和程序风格的确定。写出的程序应该是结构良好、清晰可读,并能满足程序设计阶段提出的要求。这个阶段产生的主要文档资料是源程序清单、用户手册、操作手册和测试计划。

4.软件测试阶段

上述几个阶段都可能产生各种类型的错误。因此,需要对软件进行测试。这个阶段主要是对已编写的程序进行测试,发现错误并排除。通过精心选择测试方法、工具、数据等,仔细地观察、分析程序执行结果并对发现的错误进行纠正。测试工作可分为以下几个方面:

(1)单元测试 测试各模块在功能上和程序结构上的错误;

(2)综合测试 测试连结在接口方面可能出现的错误;

(3)验收测试 测试软件能否达到预期的性能要求,以便能得到一个可运行的软件。

这个阶段的工作量是相当大的,约占软件开发全过程的一半左右。这个阶段产生的主要文档资料是测试实例、测试分析报告。

5.运行维护阶段

经过测试认为合格的软件正式投入运行后,仍然有可能出现错误。这是由于测试过的软件系统可能还隐含着错误、用户的需求和系统的操作环境可能发生变化等原因造成的,所以软件还有一个维护的问题。运行维户阶段主要是对软件继续开发和扩充、修改。即有:

(1)校正性维护,排除运行中暴露出来的错误;(2)适应性维护,使软件能适应于运行环境的变化;(3)完善性维护,进行功能扩充和进一步完善。这个阶段产生的主要文档资料是维护手册、维护报告。

为了易于理解,将上述五个阶段的主要内容归纳如表1.9.1-1。

表1.9.1-1 软件生存周期(“瀑布模型”)

为了追求以较少的投资高效地获得高质量软件这一目标,软件工作人员采取了软件开发的工程化方法、软件开发工具和软件开发的管理等一系列措施。

软件开发的工程化方法是指:(1)软件的分析、开发和维护的每个过程都应采用规范化的方法;(2)对每个阶段的开发工作进行复审,以保证质量;(3)每个阶段所产生的文档资料必须规格化;(4)尽量利用各种软件工具(软件开发、分析、测试、维护中所使用的程序系统),以提高开发的效率。为了保证能按质按期地完成软件开发任务,必须重视软件开发工作的管理。实践证明,开发一项软件系统需要组织不同专业的人员共同完成,因而必须在计划、协调、质量、进度、费用、人员、配置等方面进行及时的有效的管理。

自从提出软件工程这一概念之后,20多年来软件工程在方法、工具、管理等方面取得了一系列的实用化成果,软件工程的概念和方法已为人们所接受。

在提高软件开发效率方面也取得了可喜的进展。例如,在go to语句争论之后,人们总结了编码方法,形成了软件风格,出现了信息隐藏、模块化等原则;自顶向下、逐步求精和结构化设计方法等,都已普遍应用。软件工程的发展重点由软件生存周期的中间阶段向两端阶段延伸,注意力开始移向需求分析和质量保证技术上。人们把程序设计语言作为提高生产率的重要手段,因而大力开发功能强、效率高、应用面广的高级语言。软件工具逐步成为软件工程技术发展的重点,从单个离散的软件工具,发展到覆盖软件生存周期几个阶段的工具箱,直至支持整个软件生存周期的集成化开发环境。80年代末期,出现了CASE(计算机辅助软件工程),它的发展迅速,乃至有人把80年代称为CASE和工程工作站的时代。

在改进软件质量方面,20多年来发展了一系列的方法,技术和工具。一开始就把测试作为保证软件质量的重要手段,并把它作为软件生存周期中的一个独立的阶段。为了尽早地发现错误和缺陷,在软件生存周期的每个阶段都采取了保证质量的方法和技术。但到目前为止,最常使用的技术仍然是测试和评审技术。在测试方面的静态分析技术和动态测试技术则是用得最多的。在评审方面,台面检查(Desk checking)、走查(Walk through)、检查(Inspection)、评审(Review)等还是简易可行、适用面广的方法,程序正确性的形式化证明技术还未达到实用水平。

由于软件的复杂性、多样性和不可见性,给软件开发的管理工作带来了困难,虽然各国都很重视软件开发的管理,但还未有成熟实用的理论和方法。

关于软件生存周期模型,现在用得最多的是上述的“瀑布模型”,为了克服瀑布模型的弱点,又开发有螺旋模型、快速成型模型、增量式开发模型等,但都还不是万能性的。

90年代软件工程技术的发展将主要有两个方面,一是通过重复使用标准的软件部件,提高软件开发的生产率;二是软件开发将更加依赖于软件工具和开发环境。80年代中期面向对象技术的兴起,为软件工程技术注入了新的动力。因为面向对象技术的突出优点是能支持软件的重复使用,它的目标概念及其继承特性为软件部件重复使用提供了一条可行的途径。这方面的研究重点是软件部件(对象)的定义、属性说明、部件库的建立、面向对象语言等。

90年代是CASE变得成熟和推广的年代。

软件的可靠性是人们普遍关心的一个重大问题。目前的绝大多数软件产品在运行中都有可能出现差错。在计算机已应用于生产和生活的所有领域的今天,这种状态已成为不能容忍的了,因而对软件差错判别方面的研究工作是软件生产所迫切需要的。例如,美国贝尔实验室的有关软件可靠性的重点研究有:可靠性预测、测试前对隐含错误的估算、测试中对失效的估算等。

从1991年召开的第十三届国际软件工程会议所提供的信息来看,今后一段时期内软件工程的研究重点是:(1)测试和验证技术;(2)平行和分布式系统;(3)安全性、方法学与软件工程环境;(4)软件可靠性、项目评估、程序重复使用等。

软件工程技术已取得了大的进展,但与以严格、严密为特点的工程学科相比还相距甚远。由于众多的用户都已形成了自己的传统习惯、不同的软件研制开发单位都有各自的规范、风格、方法等,所以软件的研制、开发、应用等方面受人员传统的习惯、方法等非技术因素的影响很大,这将是软件工程发展和推广的一大障碍,必须尽快采取措施加以排除。相信随着计算机技术的开发和应用的迅猛发展,90年代将会是软件工程技术取得突破性进展的年代。

四、高密度记录光盘

随着电子计算机的不断发展,计算机用存储器也相应地得到了迅速发展。与此同时,计算机的外部存储器也取得了惊人的进展。已经在计算机系统中正常使用的外部存储器产品,从磁鼓、磁带发展到磁盘(包括硬盘和软盘)。由于社会向信息化发展,信息量日益增大,从而对于小型的、高密度记录的光盘存储器的需求与日俱增。70年代即已开始光盘存储器的研究,目前处于应用阶段。有人认为下一代的光盘存储器将成为一门新兴产业。

当前国外所开发的光盘存储器大体上可以分为重写式光盘存储器和非重写式光盘存储器两大类。这两类又都分别包括音频光盘、视频光盘、计算机光盘三种存储器。音频光盘(audio disk)用于存储音频信号;视频光盘(vedio disk)用于存储视频信号;计算机光盘用于存储数字信号。

早期开发的计算机光盘存储器都是非重写式只读存储器(CD ROM-Compact disk read only memory),它适用于不允许改写或不需要改写的数据存储,例如数据库式电子书刊等。后来开发的计算机光盘存储器是写一次光盘即WORM(Write once read memory disk)光盘。这种光盘只能写一次,写入后信息就存在光盘上,计算机可以多次读出光盘上的信息。这样的光盘存储器适用于不允许更改文件档案的存储以及银行系统等。例如,美国ISI公司开发的525GBX2型5.25″WORM光盘存储的容量为2560兆字节,数据传输率为每秒6.5兆字节,道平均存取时间为16.7ms,转速为1800r/min。其后又开发了重写式光盘存储器。例如,日本三菱工业公司开发的ISO型130mm(相当于5.25″)的重写式光盘、存储器,容量为300兆字节,平均查找时间为35.5ms,磁场翻转时间为3ms,接口为SCSI——Small computer system interface(小型计算机系统接口),转速为2400r/min。

从原理上看,光盘存储器具有一系列优点:①存储量大,例如5.25″光盘存储器的容量相当于1000张同样大小的软磁盘;②由于光盘存储器采取无接触记录方式,因而大大提高了记录光头和光盘的寿命;③能高速随机存取;④记录在光盘上的信息稳定可靠。所以美国、日本及欧洲等国都非常重视并投入人力、物力、大力研究和开发光盘存储器。

目前所开发的磁光盘存储器(5.25″和3.5″规格)都不能与硬磁盘存储器相抗衡。所以,研究与开发的重点应以缩短存取时间、增大容量、提高数据传输率、增强可靠性、标准化等为目标。

1.缩小光束直径,提高存储容量

光记录密度受到光束直径的限制,光束直径由λ/NA所确定,其中,λ为光束的波长,NA为数值孔径。通过半导体激光器的研究,光束波长λ已在短波长化。例如,过去λ为820mm,最近已降至780mm,正在试制的为650mm。数值孔径过去为0.5,最近已提高到0.55。由于数值孔径的提高,相应地必须提高跟踪伺服精度和聚焦伺服精度。光束直径的缩小,既能提高道密度又能提高记录线密度,所以效果是显着的。

2.MCAV(modified constant angular velocity改进的恒角速度)记录方法

现在使用的CAV(恒角速度)记录方法,其内周记录密度高,而外周记录密度低。改进的恒角速度记录方法则是增加外周上的扇区数,把外周的记录密度提高到内周记录密度的水平,使磁光盘存储器的记录容量得以增加。

3.热模式(thermal mode)光记录方式

现在利用的这种方式在记录点上积蓄有热能,而记录点的前半部分和后半部分的阈值是不同的,一般是前端的值大于后端的值,而且不稳定度较大,因而限制了目前对应于一个记录点只能作为一位进行记录。如果能够控制记录点长度上的阈值,则有可能充分利用记录点的长度,对应于记录点的前后端各记录一位,可增大记录密度,从而增加存储容量。这种方法正在研究之中。

4.提高存取速度

当访问光盘的目标光道时,先进行粗检索,这时根据目标光道和距离而生成最优速度函数,并按这个函数移动光头。此时,光头的位置和速度由设在光头旁的直线度尺进行检测。由于光盘的道密度很高,所以粗检索通常会产生检索误差。为此,在粗检索之后,要再次检出道地址而进行精检索,以便修正误差。为达到这一目的,正在研究道系数法。它是用光盘道计数的方法来减少粗检索的误差,以此提高检索速度。

5.提高光盘转速

通过提高光盘转速谋求数据传输速度的提高。当前限制光盘转速的首要因素是半导体激光器的输出功率,其技术关键是,当把半导体激光器的输出提高到50mW时,如何保证光盘外周的记录能力。

6.磁场调制方式

为了提高数据传送速度,在提高光盘转速的同时,盛行着试验一种被称为磁场调制方式即通过对偏置磁场进行调制的方法,这是一种使原有数据的一个区段不用抹去即能直接重新写入的方法。由于这种方法要求光头与光盘记录薄膜相距很近,所以如何可靠地保证光头与光盘不擦碰是一个技术难点。

7.介质性能的改进

光盘记录介质的性能有待进一步改进和提高。因为目前原始误码率高,达到10-4~10-5,这与计算机对存储器的10-12以下误码率的要求相距甚远。为此,正在大力研究开发错误的检测和校正系统(EDAC)。

8.低价格化

低价格化也是研究光盘存储器的重点。随着光盘存储器的商品化和批量生产,光盘的成本必将逐步下降。因而降低光盘存储器的成本的关键将是降低光头的成本,而降低光头成本的核心在于研制开发集成光头技术。

9.其他有关技术课题

除了上述急待解决的项目之外,光盘存储器有关的技术课题还有:高密度记录材料薄膜技术,光盘的精密加工及制造技术,小型光头的设计制造技术,精密稳定的伺服技术等。

10.磁光盘存储器的标准化

为了保证可换性工作介质的互换,ISO(国际标准化组织)/IEC(国际电工委员会)正在进行磁光盘存储器的标准化工作。审议对象为直径130mm(相当于5.25″)和直径86mm(相当于3.5″)的磁光盘存储器。直径130mm的国际标准草案已于1989年获得承认,现在正大量使用。直径86mm的标准化正在审议之中。两种标准规格的内容有许多共同的部分,其中主要项目见表1.9.1-2。

表1.9.1-2 两种标准规格

五、智能系统

人类的智能是经过长期生产和生活实践逐渐形成和成长起来的,是物质运动的一种特定形式。它指的是人类所具有的记忆、思考、观察、想象、学习、推理、类比、抽象、判断、决策、发明、创造等认识世界、改造世界的能力。

人们从很久以前就梦想着使机器也能具有这种能力,即所谓的智能系统。一直到电子计算机问世才开创了用机器延伸人脑工作的物质条件,超大规模集成电路的进展起到推动作用。于是出现了一门新兴的学科领域-人工智能。一般地说,人工智能就是专门研究用机器来承担本来需要用人类智能才能完成的工作;探索和模拟人的感觉及思维过程的规律,把人类的某些智能赋予机器,使机器能模拟代替人的智能活动。

到60年代为止,人工智能一直处于初创阶段。机器翻译和机器奕棋是人工智能最早涉及的领域。后来对难度更大的模式识别开始了探索工作。70年代为人工智能的发展阶段,除了继续进行机器翻译、机器奕棋、模式识别(包括文字、声音、图象的自动处理)方面的探索,又开创了定理证明、自然语言理解、专家系统等人工智能新的研究领域。目前这些方面都分别取得了成果。

机器翻译的水平逐步提高。从通词翻译发展到语法分析,并对语义信息、上下文关系能进行判断。在局部科技领域内一些翻译机的正确率已达到85%。

机器奕棋的水平发展很快。不仅能迎战中等水平的棋手,而且在国际象棋公开赛中,一举夺取A级水平比赛的冠军。

模式识别进展迅速。文字、声音、图象的识别已经初步应用于医疗诊断、遥感图象分析、信件分拣、案情侦破等方面。

在数学定理证明方面,已成功地用计算机解决了数学难题“四色定理”。

在自然语言理解方面,已研制了四个初级自然语言理解系统以及一些限定主题的对话系统。

专家系统是一种可以象专家那样解决某些领域中存在问题的智能计算机系统。70年代以来取得了不少的成果。从80年代初的几十个系统发展到80年代末的3000多个系统,并陆续应用于一些特定领域之中。

在人工智能的基础条件方面,开发了人工智能工作站用的VLSI芯片,并行处理人工智能计算机,知识库计算机,人工智能语言等一系列智能系统。

工程技术人员一方面继续进行一些人工智能基础技术的深入研究,一方面积极地将它与实践相结合。进入80年代后,部分智能系统开始陆续投入使用。

美国、日本、西欧许多国家相继地出现了人工智能开发部门、人工智能产品的研制开发公司等相应的组织,促使智能系统产品的不断发展。美国DM数据公司出版的《人工智能潮流》对各种人工智能产品的市场情况做了统计,见表1.9.1-3。

表1.9.1-3 各种人工智能产品的市场情况

从表1.9.1-3,中可以看出智能系统产品的发展是迅速的。

六、计算机网络与通信

由于超大规模集成电路技术、计算机技术、通信技术的迅猛发展,人们迫切期望解决在计算机之间通信以共享硬件、软件、信息等资源的问题,因而计算机网络成为十分重要的课题。

计算机网络指的是用通信线路把若干台计算机和计算机设备连接起来所组成的一个系统。在这个系统中,各个用户可以共享硬件资源(加各种型号计算机、打印机、绘图机等)、软件资源(如通用的或专用的软件包等)和信息资料(如各种数据、图表等)。亦即将地理位置不同、并且有独立功能的多个计算机系统,通过通信设备和线路连接起来,用功能完善的网络软件实现网络中资源共享的系统。

由于计算机网络通过通信而实现资源共享,为网内用户带来很多好处:①可以进行资源调剂,使只具有微型计算机或小型计算机、甚至不具备计算机的用户也能分享大型计算机资源的好处,避免重复劳动和重复投资;②数据信息的集中和综合处理,将分散在各地计算机中的数据资料适时地集中、综合处理,形成各种报表并能提供给决策者进行分析和参考;③提高系统可靠性,当网络中的一个处理机发生故障时,可由另外的通道来传送信息或转到另外的系统中进行处理,不会导致整个系统瘫痪,重要数据采用备份的办法加以保护,不致于丢失;④均衡负载和相互协作,可以调节忙闲不均或白天、夜间的负载调度;⑤方便用户、易于扩展,用户通过终端能够方便地得到各种服务,当需要扩展时,能较容易地把相应设备挂在网上;⑥节省软硬件的开销。正因为计算机网络具有以上优点,它已经成为现代信息化社会不可缺少的工具。

计算机网络按其通信覆盖地域范围可分为:远程网(RAN,通信距离为几公里到几千公里以内),局域网(LAN,通信距离为几十米到几千米),I/O总线(通信距离为几十米以内)。

此外,上述三者的传输器的耦合方式(连结方式)也是不同的。I/O总线为紧耦合,通过系统总线耦合。远程网为弱耦合,通过通信线路和MODEM(调制解调器)耦合。局线网是松耦合,介于紧藕合和弱耦合之间,通过通信线路耦合。

计算机局域网具有许多优点,特别适于在办公自动化系统(OA系统)、工厂自动化系统(FA系统)、部门信息系统、军事指挥和决策支持系统等的应用,因而得到了迅速发展。

美国局域网络标准化委员会对计算机局域网所下的定义为:“局域网在下列各方面与其它网络不同,通信常被限制在中等规模的地理区域内,例如一座办公楼、一个仓库或一个单位,能够依靠具有中等到较高数据率的物理信道,并且这种信道具有始终一致的低误码率。计算机局域网有以下特征:①由于网络的覆盖地理范围不大,通信介质费用所占比重不大,常用的通信物理介质有双绞线、同轴电缆和光纤等;②信道具有较宽的通频带,数据传输率较高;③有高度互连的特性和扩充的灵活性;④网络中不一定需要中央主机结点,而只需向用户提供分散而有效的数据处理和计算功能;⑤信通中电文传送控制的方法、机构较简单可靠;⑥网络中某一个站发生故障时不至于影响整个系统的运行;⑦实现网络系统的费用不多;⑧建网周期较短,见效快,成本低,效益高。总之,计算机局域网具有高传输率和低传输成本的特征。

计算机局域网可根据数据传输率、信号技术和拓扑结构进行分类。

根据数据传输率,计算机局域网分为高速局域网(HSLN,50兆位/秒以上)、局域网(LAN,1~20兆位/秒)、程控交换网(CBX,9600~64000位/秒)。

根据所使用的信号技术,计算机局域网可分为基带网和宽带网两种。基带网在传输线上直接传送数字信号,优点是抗干扰能力较强。但是由于数字信号传输衰减较快,若不加放大和整形,则传输距离一般不超过1km。反之,宽带网采用信号调制技术,可以选用频带宽的通信介质同时传送多路信号,而且传输距离可高达15km以上。

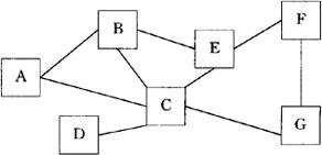
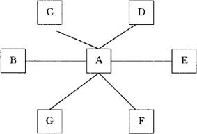
根据网络的物理连接抽象为几何形状的网络拓扑结构,可分为总线形拓扑、树形拓扑、星形拓扑、环形拓扑和网形拓扑,见图1.9.1-1、图1.9.1-2、图1.9.1-3、图1.9.1-4和图1.9.1-5。

图1.9.1-1 总线形拓扑

图1.9.1-2 树形拓扑

图1.9.1-3 星形拓扑

图1.9.1-4 环形拓扑

图1.9.1-5 网形拓扑

总线形拓扑结构在计算机局域网中用得相当普遍。由于总线上所有的站都能接收所有的信息,这种拓扑结构控制信息流动的方法比较简单。其缺点是由于只有一个信道为所有设备服务,一旦该信道失效,整个网就会瘫痪,而且网络中某一部件发生故障时很难把它隔离开来。

树形拓扑结构是最常见的形式之一。优点是网络的控制软件比较简单,而且均控制和差错处理提供集中点。缺点是存在着潜在的“瓶颈”问题。

星形拓扑结构是广泛使用的形式之一。优点是控制软件不复杂、数据流比较简单,而且能较容易地做到故障隔离。缺点是存在着潜在的瓶颈问题和失效问题。

环形拓扑结构是常用的形式之一。优点是不大会出现瓶颈问题,而且控制逻辑很简单。它的缺点是如果某两个节点之间信道失效,则整个网络会瘫痪。

网形拓扑结构是近年来得到应用的。它的优点是不受瓶颈问题和失效问题的影响,但是逻辑上相当复杂,成本也比较高。

不同的拓扑结构所采用的信息传递方式是不同的,但是无论采用何种信息传递方式都必须避免信息在传输过程中发生碰撞。解决这一问题的措施是实行网络控制协议。它通常分为六种:①CSMA/CD(载波侦听、多重访问/碰撞检测);②CSMA/CA(载波侦听、多重访问/冲突避免);③Token加passing(令牌传递);④Polling(轮流询问);⑤Center control(集中控制);⑥TDMA(时间分割多重存取)。

为了在终端设备、计算机、人、网络、处理机之间顺利地传递信息,1980年ISO(国际标准化组织)宣布了开放系统互连(OSI-Open system interconnection)标准化协议。OSI具有七层协议,从低层开始依次为物理层、链路层、网络层、传输层、会话层、表示层、应用层,七层彼此向上结合,最低四层实现传输服务,提供信息在网内各点间进行传输的手段。高三层属于应用层,允许用户与网络连结。

除此之外,IEEE(电机与电子工程师学会)提出了一系列有关网络的标准、CCITT(国际电报电话咨询委员会)提出的X·25也都是重要的联网通信规程。

计算机技术与通信技术原来是两个独立发展的学科,近20年来这两个学科逐渐地结合起来,计算机技术已成为通信技术设备的基础,数据通信则为计算机的广泛应用创造条件。

通信技术在方式、设备、服务等方面都有了飞跃的进展。在计算机局域网硬件技术中,传输介质的发展很快。已有双绞线、同轴电缆和光纤(光导纤维)。由于光纤具有很低的传输衰减、极大的信息传输带宽能力、不受外界电磁干扰、体积小重量轻等优点,80年代以迅猛的速度在全世界推广。先是用于市话局间线路,后延展至长途干线和海底光缆。光纤的工作波长从0.85μm(短波长),延展至1.3~155μm(长波长);从多模光纤发展了单模光纤。长波长单模光纤的光缆可以传输的中继距离约为100km,而传输带宽能达到30MMHz,后者表明光纤对信息传输的巨大潜在容量,足以应付未来相当长时期急剧增长的信息传输的需求,特别是光源、光检测器件的发展和改进,使光通信设备的可靠性越来越高,成本越来越低,创造了普及推广的前提条件。80年代后期,国际上宣布停用同轴电缆,而代之以光纤光缆。随着光器件研究的深入,光开关、光逻辑、光子晶体管等新器件将会出现,从而有可能由电的数字信息处理向光的数字信息处理发展,由电的数字计算向光的数字计算发展,由电的数字通信向光的数字通信发展。这将是个突破性进展。

90年代计算机局域网的发展趋势是:入网机型将从单一厂家机型延展到多厂家机型,从16位微型计算机延展到32位微型计算机;传输介质将是光纤光缆的天下;操作系统将从单一操作系统DOS延展到多操作系统MS-DOS、OS/2、UNIX;网络功能将从文件、打印共享、电子邮件延展到分布式处理、图形功能;网络标准将从OSI的低层实现延展到OSI高层的实现;ISDN(综合服务数字网)和ISLN(综合服务局域网)将得到发展。

随着计算机应用的深入和网络技术、通信技术更加成熟,90年代已成为计算机网络和通信的时代。

计算机网络与通信技术是信息技术的一个重要分支。计算机网络与通信技术的迅速发展必将推进信息技术的发展速度,使之能更好地满足信息社会的要求。

随便看

 

离鸟网收录3541549条中英文词条,其功能与新华字典、现代汉语词典、牛津高阶英汉词典等各类中英文词典类似,基本涵盖了全部常用中英文字词句的读音、释义及用法,是语言学习和写作的有利工具。

 

Copyright © 2004-2024 vtrois.com All Rights Reserved
更新时间:2026/4/19 22:29:49