网站首页  词典首页


请输入您要查询的字词:

 

字词 保本点及其计算方法
类别 中英文字词句释义及详细解析
释义

保本点及其计算方法


一、保本点及其表现形式

(一)保本点

保本点也称盈亏临界点,是指企业在一定生产销售条件下,产销若干数量的产品所获得的销售收入,正好与产品总成本相等状态的那一点,在这一点企业既无盈利也不亏损。企业实现的销售水平如果超过一点,就可以获得利润,低于这一点,就会发生亏损。

保本点是成本、业务量、利润依存关系的一种特殊表现形式。本、量、利分析法的特点就是从分析成本、业务量与利润三者之间的关系来分析经营方案对企业盈亏的影响程度,掌握企业盈亏变化的规律,从而根据保本点选出最能减少亏损、增加盈利的方案,用以寻求企业有效经营的途径。

保本分析的原理如图表4-1所示。

图表4-1

保本分析原理图

图表4-1形象地反映了有关因素之间的相互关系。从图中我们可以形象地看出以下规律:(1)保本点A不变,销售量越大,所实现的盈利就越多。(2)销售量不变,保本点A越低(左移),能实现的盈利越多,或亏损越少。(3)在销售收入即定的条件下,保本点高低取决于固定成本和单位变动成本的多少:固定成本越多,或单位产品的变动成本越多,保本点就越高;反之保本点就越低。

从图表4-1还可以知道,必须首先确定保本点,建立保本分析法的数学模型,才能进一步分析成本、产量、利润之间的关系。

(二)保本点的表现形式

企业的经营业务量达到保本点,就意味着企业处于不亏不盈的状态。保本点有两种表现形式:一种是用业务量来表示,称为保本点业务量,如保本点销售量;一种是用业务额表示,称为保本点业务额,如保本点销售额。

二、保本点的计算

(一)保本点可以通过业务量来反映

在产品售价、变动成本和固定成本已知的条件下,就可以通过建立保本点的数学模型来确定保本点的业务量(产、销量)。以图表4-1可知,销售收入与销售成本线的交点A,即为保本点。按A的数量生产和销售产品,其销售收入将等于销售成本,此时,企业既不盈利也不亏损。

设:PX-销售收入;

a+bx-销售成本;

P-单价;

X-保本点业务量;

a-固定成本;

b-单位产品变动成本。

显然,确定保本点必须满足以下条件:

销售收入(PX)=销售总成本(a+bx)

保本点销售收入:PX

保本点销售成本:a+bx

式中:单位售价-单位变动成本=单位产品贡献毛益。

所谓贡献毛益,是指销售收入减去变动成本后的余额。用贡献毛益补偿固定成本后,如果再有剩余就可获利润。因此贡献毛益包括固定成本和利润两部分,其计算公式如下;

Tcm=Px-bx=a+p

式中:

Tcm——贡献毛益

px——销售收入

bx——变动成本总额

a——固定成本总额

P——销售利润

贡献毛益式保本点,如图表4-2所示。

图表4-2

贡献毛益式保本图

〔例〕某企业只生产一种A产品,单位销售价格为40元,变动成本为20元,固定成本总额为40000元,则:

计算结果表明,该企业生产甲产品,销售量(假定产销售一致)为2000时,企业不盈不亏,超过2000件,就可以获得利润。

(二)保本点业务额的计算

保本点也可用业务额,即产、销额来表示。保本点销售额的计算公式为:

式中:

单位贡献毛益=单位售价-单位变动成本

设:Cm——单位贡献毛益

cmR——贡献毛益

则保本点销售额的计算公式可以表示如下:

〔例〕仍以上例为例。则:

计算结果表明,该企业保本点销售额为80000元,即该企业销售额达到80000元时,企业不盈也不亏。

(三)多种产品条件下保本点的计算

当企业生产经营多种产品,而且各种产品贡献毛益率也不相等时,其保本点需通过贡献毛益总额和综合贡献毛益总额和综合贡献毛益率来求得。贡献毛益总额是一定期间内实现的各种产品销售收入总额与其变动成本总额之间的差额。综合贡献毛益是各种产品贡献毛益总额同销售收入总额之间的差额。综合贡献毛益率是各种产品贡献毛益总额同销售收入总额之间的比值,或各产品贡献毛益率的加权平均贡献毛益率。

即:

将计算出的贡献毛益总额和综合贡献毛益率代入保本点销售额计算公式,得到多种产品保本点销包额的计算公式为:

上式表明,如果企业生产多种产品,那么计算保本点应首先采用加权平均法计算出综合贡献毛益率,然后计算出综合保本点总销售额,最后再求出各种保本点销售额。

〔例〕已知某企业的固定成本总额为648000元,生产A、B、C三种产品(假定产销平衡),其余资料如图表4-3所示。试求各种产品保本点销售额。

图表4-3

产品成本价格表

1、保本点销售额的计算

根据上述资料,具体计算如下:

首先计算综合贡献毛益率。

综合贡献毛益率可以用贡献毛益总额与销售额之比求得,其计算公式为:

也可以采用平均贡献毛益率计算,其计算公式为:

其计算过程如图表4-4所示。

图表4-4

然后,计算综合保本点销售额,计算公式为:

计算结果表明,该企业在现在条件下生产A、B、C三种产品的销售收入达到240000元时不盈不亏。

2、保本点销售量的计算

在生产经营多种产品的情况下,企业经营管理者不仅因价值核算需要计算保本点销售金额,而且由于安排生产和组织销售,还需要计算保本点销售实物量。多种产品保本点销售实物量可以通过上述已经计算出的保本点销售金额来核算,也可直接运用有关会计资料,借助于综合贡献毛益来求得。

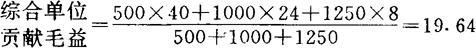
首先计算综合单位贡献毛益,其计算公式如下:

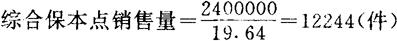
然后计算保本点销售实物量,其计算公式如下:

最后,分别计算各种产品保本点销售实物量,其计算公式如下:

〔例〕仍以上例中所综合的数据为例,计算多种产品条件下保本点销售实物量。

首先,计算A、B、C综合单位贡献毛益:

其次,计算综合保本点销售量:

最后,分别计算A.B.C三种产品保本点销售量。

或者用综合保本点销售额与各种产品所占销售比重来计算。

(三)保本点的图解法

本量利分析除了借助公式进行计算之外,也可以运用图解法。通过图示提供形象化的信息,有时会比用数学或语言表达信息更为明了易懂,效果往往更好。图解法的优点如下:

第一,图解法提供的一个一定范围内的动态信息,而不是象公式计算那样,只能提供一个固定状态下的静态信息;

第二,它用不着许多数字资料,就能使管理者一目了然,掌握很多有用的信息;

第三,它更直观,更形象,易于理解。

当然,图解法也不是完美无缺的,它的主要缺点是不够准确,不过,一般在依据预计数据进行决策分析时,并不要求通过图表把结果显示得十分准确,因此并不妨碍这种方法在企业经营管理中广泛应用。

运用图解法进行本量利分析的基本方法是:

首先,绘制一个直角从坐标图,以横轴表示产销数量,纵轴表示销售收入成本和利润金额;然后,在图上划出反映销售收入和总成本递增情况的两条线,这两第线的交点即为保本点。当产销量在保本点以上时,企业能够盈利;当产销量在保本点以下时,企业将发生亏损。

由于这种图可以据以确定保本点,并且显示出成本、产销量和利润之间的相互关系,所以叫做保本分析图或本量利分析图。

绘制保本分析图一般有四种基本方法。

1.标准式保本分析图制作法

在制作保本分析图时,应按如下步骤:(1)建立直角坐标系,以纵轴表示利润,正数表示盈利,负数表示亏损,横轴表示销售收入;(2)按照固定成本总额在图上画出一条平行于横轴的固定成本线;(3)在固定成本的基础上,按照单位产品变动成本的斜率画出变动成本线,这条线也就是销售总成本线;(4)再通过原点,按照单位产品售价的斜率,画出销售收入线。这时,销售总成本线与销售收入线的交叉点就是保本点。用这种方法绘制的保本分析图最为常见,通常叫做标准式保本分析图。

〔例〕某企业生产和销售A产品,固定成本总额为4000元,单位产品的变动成本为10元,单位产品售价为15元。据此,可绘制如图表4-5所示的保本分析图。

图表4-5

标准式保本分析图

绘制标准式保本分析图的具体方法是:(1)建立直角标系,纵轴表示利润,横轴表示销售收入;(2)在纵轴上4000元处,画出固定成本线AB。因为固定成本总额的大小与产销量的多少无关,所以AB线与横轴平行;(3)按照单位产品变动成本10元的斜率画出总成本线AC。在AC上的任何一点,都是固定成本总额加上该点的产销量与单位产品变动成本之积所得的总成本;(4)再过原点按单位产品售价15元的斜率画出销售收入线OD。在OD线上的任何一点,都是该点的产销量乘单位产品售价之积所得的销售收入。在E点销售收入与总成本恰好相等;(5)过E点向横轴作垂线,交横轴于G点,即为保本点产(销)量800件;过E点向纵轴作垂线,交纵轴于F点,即为保本点的销售收入12000元。这样就求出了保本点的产销量和销售额。

验证如下:通过作图确定保本点的产销量为800件。

则,销售收入=800件×15元=12000元

销售总成本=4000元+800件×10元=12000元

这时销售收入恰好等于销售总成本,企业即可以保本。

2.贡献毛益式保本分析图制作法

用这种方法绘制保本分析图,具体步骤为:(1)建立直角坐标系,纵轴表示利润,横轴表示销售收入;(2)先以原点按照单位产品变动成本的斜率画出变动成本线;(3)再在变动成本线的基础上按照固定成本总额画出一条与变动成本线相平行的固定成本线,这条线就是总成本线。这时销售收入线与销售总成本线相交之点,即为保本点。用这种方法绘制出的保本分析图通常被称为贡献毛益式保本分析图。

贡献毛益式保本分析图制作法的理论依据是:当企业销售产品所获得的贡献毛益总额刚好能够弥补所支出的全部固定成本时,企业可以做到不盈不亏。即保本点正好出现在贡献毛益位置总额等于固定成本总额的时候。

〔例〕仍用上例的资料,绘制贡献毛益式保本分析图。如图表4-6所示。

图表4-6

贡献毛益式保本分析图

绘制贡献毛益式保本分析图的具体方法是:

先过原点按照单位产品变动成本10元的斜率画出变动成本线OA。再在纵轴上4000元处画出一条和变动成本线平行的固定成本线BC。因为固定成本总额的大小与产销量的多少无关,所以BC线就与变动成本线OA相平行,在任何产销量水平下,这两条线之间的距离都相等,即为4000元。然后,再过原点按照单位产品售价15元的斜率,画出销售收入线OD。销售收入线与总成本线相交于E点,即为保本点。最后,再过E点向横轴作重线,交横轴于G点800件;过E点向纵轴作垂线,并于F点为12000元。这就是通过该种方法确定的保本点的产销量和销售额。这时销售产品所提供的贡献毛益总额应为:800件×5元=4000元。

由于贡献毛益总额恰好能够弥补上支出的固定成本总额,所以企业可以保本。标准式和贡献毛益式保本分析图的作图方法虽然不同,但就其所得的结果来说是完全一致的。它们之间的区别主要表现在两个方面:

(1)作图的具体方法不同。第一种方法是先画出固定成本线居此基础上再画出变动成本线;第二种方法则是先画出变动成本线,然后再在此基础上画出固定成本线。

(2)理论依据不同。第一种方法的理论依据是:当销售收入等于销售总成本时,企业可以保本;当销售收入大于销售总成本时,企业能够盈利;当销售收入小于销售总成本时,企业将会亏损。第二种方法的理论依据是:当销售产品提供的贡献毛益总额等于发生的固定成本总额时,企业能够盈利;当销售产品提供的贡献毛益总额小于所发生的固定总额时,企业将会亏损。

在绘制贡献毛益分析图的两种方法中,第一种方法更易于理解,应用也最广。用第二种方法绘制的保本分析图,其优点是可以把不同经济活动水平下的贡献毛益额清楚地显示出来。如图表4-6中的DOA所显示的不同产销量下所提供的贡献毛益额。在不同产销量下,贡献毛益额的大小取决于OD与OA两条线之间的距离(见阴影部分)

3.利量式保本分析图

利量式保本分析图侧重反映销售量变动时利润变动的情况。其具体作法是:(1)建立直角坐标系,仍以纵轴表示利润,正数表示盈利,负数表示亏损,横轴表示销售收入;(2)然后在纵轴上负数亏损区确定固定成本总数;(3)根据预期销售收入确定出对应的利润额;(4)取利润总额所确定的座标点与纵轴上代表固定成本点相连接,绘成一条直线,这一直线与横轴相交之点即为保本点。这样利润线上即可读出各销售量下的利润或亏损金额。

〔例〕某企业预计生产多功能切菜机1000台,每台售价100元,每台变动成本50元,固定成本总额20000元,销售收入100000元,利润30000元。按照上述步骤可绘制如图表4-7年所示的利量式保本分析图。

图表4-7

利量式保本分析图

三、安全边际与安全边际率

1、安全边际

企业在经营活动中,必须经常对自身经营状况加以判断,以便提出相应对策,不断提高企业生产经营的管理水平。利用保本分析理论可以进一步分析企业经营的安全边际。所谓安全边际是指现有或预计销售量超过保本点销售量的余额,其计算公式是

安全边际=现有(预计)销售量-保本点销售量

显然,安全边际标志着现有销售量下降多大范围企业仍不亏损。安全边际越大,发生亏损的危险性就越小,企业的安全性就越高。相反,企业的安全性就越低。

2、安全边际率

安全边际率是安全边际与现有或预计销售量的比值,它是以相对数形式表明企业从现有或预计销售量到保本点销售量的距离。即在生产成本与销售价格不变的情况下,减销多少企业将发生亏损。一个企业的安全边际率越高,发生亏损的可能性就越小,表明企业经营的安全性越高;反之,一个企业的安全边际率越低,发生亏损的可能性就越大,表明该企业经营的安全程度越低。

由于安全边际率是反映企业经营状况的综合性指标,也称经营安全率。其数值越接近100%,说明企业的盈利越高,经营状况越好;相反,其数值接近于零,说明企业已面临亏损的危险,经营状况很差。因此,企业将经营安全率的高低,作为评价企业的经营状况的指标。至于评价标准可根据企业的经验,并参考同类企业资料来确定。下列数据可作为一般判断企业安全经营程度的参考标准如图表4-8所示。

图表4-8

经营安全档次表

在实际工作中除经营安全率指标时,也有时把它反过来,用经营危险率来表示企业的安全程度。计算公式为:

或 经营危险率=1-经营安全率

经营危险率指示的数值越小,表明企业经营的安全程度越高;经营危险指标的数值越大,表明企业经营安全程度越低。

(二)经营杠杆与经营杠杆率

1、经营杠杆

在管理会计中,把企业由于存在固定成本而形成的利润变动率总是大于业务量变动率的这一性质称为经营杠杆,它是本量利分析中的又一个重要概念。

根据成本性态原理,企业的生产经营费用可以分为固定成本和变动成本两部分,其中固定成本通常作为期间费用,在一定业务量范围内是不改变的。即企业生产经营的业务量在一定范围内增减,企业的固定成本总额是不变的,但其单位固定成本随着业务量的增加而降低,从而提高单位产品的利润,并使利润增长率大于业务增长率。相反,业务量的减少,会使单位固定成本升高,从而降低单位产品的利润,并引起利润大于业务量下降率。显然,这一原理对于企业进行利润预测,反映企业的经营风险具有重要意义。

2、经营杠杆率

为了定量地反映企业由于存在固定成本而引起的利润变动率大于业务量变动率的幅度,管理会计把利润变动率与业务量变动率的比值,称为“经营杠杆率”。其计算公式如下:

设:P——基期利润

P——计划期利润

s0——基期业务量

s——计划期业务量

△P-利润变动额

△S-业务量变动额

则经营杠杆率的计算公式可表述为:

〔例〕A公司今年计划生产甲产品20000件,单位售价50元,单位变动成本30元。固定成本总额100000。明年预计销售22000件,售价及成本水平不变,其经营杠杆率计算如下:

根据上述资料编表计算出本期销售收入,本期利润、计划期销售收入、计划期利润,以及销售变化率和利润变化率如图表4-9所示。

图表4-9

由于经营杠杆率用于经营预测分析时,其计划期指标通常都是未知的,因此经营杠杆率通常是用基期边际利润总额与基期利润的比值求得,其计算公式为:

将上例资料数据代入:

经营杠杆率为1.33,表明该企业经营甲产品的利润变动率是销售变动率的1.33倍。

3、经营杠杆率的应用

在企业的经营管理中,经营杠杆主要用于帮助经营管理者预测分析企业的经营风险。

(1)预测利润。利用经营杠杆率,可以根据计划期的销售变动率来预测计划期利润。”计算公式如下:

预测计划期利润=基期利润×(1+利润变动率)

其中利润变动率公式可以换成:

所以,预测计划期利润=基期利润×(1+销售变化率×经营杠杆率)

〔例〕仍以上例为例,假定A公司计划期甲产品销量提高到28000件,售价和成本水平仍保持不变,预测计划期可以达到的利润额。

将有关数据代入预计计划期利润额公式:

计算结果表明A公司计划期甲产品销量增至28000件,预期利润可达340000元。

(2)预测实际目标利润的销售量。企业在经营管理中也可通过经营杠杆率预测实现目标利润销售量,其计算公式如下:

实现目标利润预计销售量=基期销售量×(1+销售变动率)

〔例〕仍以上例为例,假定计划期A公司产销甲产品可望实现目标利润400000元,应达到产销量是多少?

首先计算实现目标利润400000元时的销售变动率。

实现目标利润销售量=基期销售量×(1+销售变动率)=20000×(1+75%)=35000(件)

(3)反映企业经营风险。在市场经济条件下,企业每时每刻都面临着经营风险。企业经营风险形成的直接原因是由于市场供求关系变化和生产成本等因素的不确定性所引起的经营利润的不确定性。但经营杠杆率的高低也受到扩大市场价格和生产成本等不确定因素对利润变动的影响,表现为:经营杠杆率越大,利润变动越剧烈。企业经营风险也就越大;相反,企业经营杠杆率越小,影响利润变动越微小,企业的经营风险也就越小。

从上述经营杠杆率的计算公式(利润变动率=销售变动率×经营杠杆率)不难看出,企业利润变动率不仅与销售利润有关,而且还与经营杠杆率有关。经营杠杆率作为销售变动率的倍数直接加大利润变动率。如果一个企业经营杠杆率的数额大,那么当销售量增加时,销售变动率便以经营杠杆率的数额为倍数,影响利润变动率大幅度增加;相反,当销售量减少时,销售变动率便以经管杠杆率的数额为倍数,影响利润变动大幅度减少。因此,销售情况不稳定,市场供求状况波动较大的产品保持较低的经营杠杆率是有利的,只有销售情况稳定、市场供求波动不大的产品,才适于采用高经营杠杆率。

4、影响经营杠杆率的因素分析

影响经营杠杆率高低的因素主要有两个:固定成本总额和产量。

(1)固定成本总额时经营杠杆率的影响。根据成本性态原量,企业生产经营活动的成本分为固定成本和变动成本两个部分,因此:

可以说明,只要企业固定成本不为零,则经营杠杆率总是大于1,而且经营杠杆率与固定成本总额呈同方向变动,即在利润一定的情况下,企业固定成本的比重越大,经营杠杆率也就越大;相反,固定成本的比重越小,经营杠杆率也就越小。因此,企业在一定的生产经营能力范围内降低固定成本总额,不仅能提高等额的利润,而且能降低企业的经营风险。

(2)产销量对经营杠杆率的影响。

公式表明,经营杠杆率随着产销售量的变动成反方向变动,即产销额上升会使经营杠杆率下降,经营风险也降低;相反,若产销额下降,将会导致经营杠杆率上升,从而使经营风险增大。因此,充分利用现有的生产能力提高产量,不仅可以增加利润,而且可以降低企业的经营风险。

四、本、量、利依存关系的分析

上述保本点的计算与分析,是在有关因素保持不变的情况下进行的,但在实际的生产经营活动中每一个有关因素都可能发生某种变动,如成本(固定成本、变动成本)的升降、售价的沉浮、产销量的增减等,任何一个因素的变动都会导致保本点的变动,影响企业的经营成果。因此,企业管理当局掌握有关因素的相互依存关系,抓住其变化规律,以及正确计算出变动结果,对提高企业的预测水平,强化企业经营规划和制定管理决策都有重要意义。下面分别说明有关因素变动对保本点的影响。

(一)固定成本变动的影响

固定成本,特别是一些酌量性的固定成本,如广告宣传费、职工培训费等,当受某种原因的影响而发生增减变动时,其结果虽不影响贡献毛益的数额,但却可以对保本点产生影响。因此,固定成本的升降也是制定产销和利润计划的重要依据。

〔例〕某企业生产甲产品100件,销售单价为50元,单位变动成本为30元,固定成本总额为1500元,假定该企业的固定成本由原来的1500元降低到1200元,比原来减少20%,如其他条件不变,保本点销售量(也可用金额表示)将相应成比例减少。变动后的保本点销售量或销售额可以计算如下:

以上情况可以通过图表4-10来说明。

图表4-10

固定成本变动的保本分析图

随着固定成本的降低,保本点也将作相应的下降,其结果是保本点以上的“利润三角区”的面积有所扩大,而保本点以下的“亏损三角区”的面积则相应缩小。这说明企业生产经营的盈利性有所提高;所之,当固定成本提高,则保本点也随之上升,其结果导致保本点以上的“盈利三角区”的面积缩小,而保本点以下的“亏损三角区”则相应扩大。

(二)变动成本变动的影响

变动成本是影响利润变动的直接因素,它的变动会引起贡献毛益和保本点的变化。在其它因素保持不变的情况下,若单位变动成本降低,则单位产品的贡献毛益将随之提高,保本点销售量和销售额则必定减少;反之,如果单位变动成本增加,则各单位产品的贡献毛益下降,而保本点销售量和销售额必然增加。

〔例〕仍以上例,假设每单位产品的变动成本由原来的30元下降到25元,在其他因素保持不变的情况下,变动成本降低,单位产品的贡献毛益将提高为25元,此时保本点的销售量和销售额将都下降:保本点的销售量由原来的75件减少到60件,而保本点销售额将由原来3750元下降到3000元。其计算方法如下:

以上情况可以用图表4-11具体说明

图表4-11

变动成本变动的保本分析图

从图表4-11可以看出,变动成本的变动对保本的影响,是通过变动成本线斜率的变动而表现出来的。随着单位变动成本的提高或降低,变动成本线的斜率将因此而增大或缩小;同时,随着单位变动成本的升降,单位产品的贡献毛益也将相应减增。这两个方面的综合影响,使企业生产经营的盈利性也发生相应的变化。由本例可以看出,由于新的变动成本线的斜率小于原来变动成本线的斜率,单位产品的贡献毛益较原来有所增加,使盈亏平衡点有所降低,这说明企业生产经营的盈利性有所提高。

(三)单位售价变动的影响

单位产品售价的变动也是影响保本点和企业盈利的一个重要因素。在其他条件不变的情况下,单位产品的售价越高,表现的销售总收入线的斜率越大,保本点就越低,企业生产经营的盈利性就越大,同样的销售量实现的利润就越多,或亏损越少;反之,亦然。但是,产品售价的高低往往与销售费用的多少有密切的关系。一般来说,产品的售价越低;所需销售费用相对来说要少一些。

〔例〕仍以上例,假设单位产品的售价由原来的50元提高到60元,如其他条件不变,保本点的销售量和销售额均有所下降;保本点销售量由原来的75件减少到50件,保本点销售额将由原来的3750元下降到3000元,贡献毛益也将由40%上升到50%。它们的计算方法如下:

变动前后的保本分析图如图表4-12所示。

图表4-12

单价变动的保本图

从图中可以看出,单位售价的变动对保本点、单位产品的贡献毛益、贡献毛益率以及利润均有影响,它同变动成本变动的影响相类似。它对保本点的影响是通过销售总收入线的斜率表现出来的,售价越高,总收入线的斜率越大,保本点越低,企业生产经营的盈利性就越大。

(四)销售量变动的影响

销售量是影响利润变动的主要因素之一,虽然它的变动不影响贡献毛益、贡献毛益率和保本点,但是却能反映企业安全边际的变化。若销售量发生增减变动,在其它条件不变的情况下,安全边际要做相应的变动,利润额也随之增减,所以,在预测经营业绩、规划目标利润时,销售量是一个不可缺少的因素。

〔例〕仍以上例,假设企业的销售量由原来的100件增加到120件,如其它条件不变,则安全边际将由原来的25件增加到45件,企业实现的利润将由500元增加到900元。

实现利润=安全边际×单位产品的贡献毛益=45×20=900(元)

(五)品种结构变动的影响

当企业同时生产多种产品时,由于不同产品的盈利性(贡献毛益率)不一样,因此产品品种构成的变动必然要对企业的保本点产生一定的影响。

产品品种构成的变动表现在:如果生产的产品中,贡献毛益率较高的产品比重有所提高,而贡献毛益率较低的产品比重有所降低,其结果会导致企业的综合贡献毛益率提高,保本点将会下降。这是企业生产经营盈利性提高的一种表现,所以当企业同时生产多种产品时,综合考虑供、产、销等方面的有关因素,正确确定经济而合理的品种结构,也是提高生产经营盈利性的一项重要措施。

〔例〕设某企业同时生产A、B、C三种产品,固定成本为62700元;产量分别为:90000,90000,60000件,单位产品的有关资料如图表4-13所示。

图表4-13

A.B.C产品经济指标表

各种产品的销售收入在企业总收入中所占的比重如图表4-14所示。

图表4-14

产品销售收入比重表

设产品的品种构成由原来的60%、30%、10%改为40%、40%、20%,则企业的平均贡献毛益率将随之发生变化,现计算由于产品品种结构变动所引起的平均贡献毛益率的变动,如图表4-15。产品品种结构变动前后的保本点销售额的变化

图表1-15

贡献毛益表

(六)各有关因素综合变动的影响

在实际经济生活中,本、量、利诸因素是相互制约的、相互影响的,只有某一种因素单独发生变动而其它诸因素都不变的情况是很少见的,例如,为了改革生产工艺,用更先进的自动化生产设备取代现有生产设备不仅可以为产量的增加创造条件,而且又可以节约工料费用,降低产品成本,但同时又会因此而增加固定成本。而产量增加又可能会影响到产品的销售,为了使生产出来的产品能顺利地推销出去,可能又需要进一步降低售价,做到“薄利多销”。所以,为了如实反映客观情况,本、量、利分析方法就必须综合分析并计算各有关因素同时变动的影响。

〔例〕设某企业只生产和销售一种产品,目前有关指标及其预计变动情况如图表4-16。

图表4-16

根据以上资料分析计算各因素综合影响的结果,并作出初步评价。

在本例中,销售量、单位售价、单位变动成本、固定成本几个因素交织在一起,其同时发生变动的结果导致单位产品的贡献毛益、贡献毛益率、安全边际、安全边际率均发生了变化,如图表4-17所示。

图表4-17

下面我们可以通过计算各有关因素变动前后的保本点销售量或销售额,以及实现的利润进行分析评价。

随便看

 

离鸟网收录3541549条中英文词条,其功能与新华字典、现代汉语词典、牛津高阶英汉词典等各类中英文词典类似,基本涵盖了全部常用中英文字词句的读音、释义及用法,是语言学习和写作的有利工具。

 

Copyright © 2004-2024 vtrois.com All Rights Reserved
更新时间:2026/4/19 12:43:23