网站首页  词典首页


请输入您要查询的字词:

 

字词 传热方程
类别 中英文字词句释义及详细解析
释义

传热方程


(一)传热的一般表达式

Q=K·F·⊿t (3-4-7)

式中 Q——传递的热量(kJ)

K——总括传热系数kW/(m2·k)

F——传热面积(m2)

⊿——传热温差(℃)

实践中要解决的是两类问题:已知需要传递的热量,计算换热设备;已有设备,求取可传递的热量。这些问题的解决均需先求取总括传热系数K和传热温差⊿t。

传热过程示意图见图3-4-24

图3-4-24 间壁传热示意图

(二)总括传热系数与给热系数

1.总括传热系数与给热系数关系式

式中 α1α2——给热介质与受热介质的给热系数(kW/(m2·k)

h——传热面材料的导热系数(kW/m·k)

δ——传热面材料厚度(m)

2.含有空气的水蒸汽冷凝时给热系数可以从图3-4-25中查取。

图3-4-25 含有空气的水蒸汽冷凝时的给热系数

应用范围:适用于含空气的水蒸汽冷凝的给热系数计算。

使用方法:按图中虚线所示,将水蒸汽与管壁温差标尺⊿t上已知点和水蒸汽中的空气含量标尺上已知点相连,延长后与给热系数标尺α上的交点,即所求含空气的水蒸汽冷凝时的给热系数。

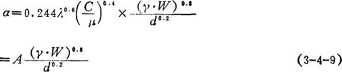
3.流体在圆管中作湍流时给热系数计算

式中 λ——流体导热系数〔kcal/(m·h·℃)〕(1kcal=4.1868kJ)

C——流体定压比热〔kcal/(g·℃)〕

μ——流体粘度(kg·s/m2)

γ——流体重度(kg/m3)

W——流体速度(m/s)

d——管子内径(m)

A=0.244λ0.6()0.4与流体性质有关的系数(见表3-4-33、3-4-34)

表3-4-33 空气的A值

表3-4-34 水的A值

公式适用范围:

(1)雷诺准数Re>10000;

(2)普兰德准数Pr0.7~2500之间;

(3)管子长径比L/d>50。

式中 诸物料常数取流体在算术平均温度下的值。

4.水-盐水在管内呈湍流时给热系数计算

水 α=3100(1+0.015t)V0.8/d0.2 (3-4-10)

盐水(25%氯化钙水溶液)

α=2090(1+0.0102t)V0.8/d0.2 (3-4-11)

式中 α——水或盐水的给热系数kcal/(m2·h·℃)

t——水或盐水本身平均温度(℃)

V——流体流速(m/s)

d——管内径(cm)

根据式(3-4-10)、(3-4-11)绘制水、盐水在管水呈湍流时的给热系数算图,见图3-4-26。

图3-4-26 水、盐水在管内呈湍流时的给热系数算图

应用范围:水或盐水在管内呈湍流时,求给热系数。

使用方法:依次连接标尺d→V→R、R——t——α,即为所求之值。

5.空气-燃气垂直流经管束时的给热系数计算。

式中 W0——流体的流速(按℃,760mmHg换算(m/s标准情况)

T——流体平均绝对平均温度(K,图中用t℃)

α——对流给热系数〔kcal/(m2·h·℃)〕

d——管外径(m)

fH——系数,见表3-4-35

表3-4-35 系数fH值表

根据式(3-4-12)、(3-4-13)绘制给热系数计算图,见图3-4-27。

图3-4-27 空气和燃气垂直流经管束时给热系数算图

图3-4-27的应用范围:适用于计算空气、燃气垂直流经管束时的给热系数。

使用方法:(1)连接W0与d标尺连线,交R1于a。(2)连接t与fH标尺,连线交R2于b。(3)连ab线交α标尺,交点读数即所求系数值。

6.浸没式冷却器的管外给热系数计算见图3-4-28。

图3-4-28 浸没式冷却器管外给热系数计算

应用范围:适用于水与水平管外流动的给热系数计算。

使用方法:(1)连接W、L标尺连线交参考线R于a。(2)连接a、d标尺连线交α标尺读数即为所求的给热系数。

7.制盐中常用的换热器材料导热系数见表3-4-36。

表3-4-36 制盐常用换热器用材的导热系数

(三)传热温度差

1.稳定对流传热的几种热流状态。

(1)给热物料温度为一恒值:如蒸汽冷凝。

(2)并流:给热物料与受热物料流向相同。

(3)逆流:给热物料与受热物料流向相反。

(4)错流:给热物料与受热物料流向垂直。

(5)折流:给热物料与受热物料既有并流也有逆流。如列管换热器单壳程多管程;多壳程多管程。

2.不同热流状态传热温差的计算 以给热物料和受热物料各自的始末温度作为已知数据计算传热温差。有算术平均值和对数平均值两种计算方法。对错流和折流需另加修正。

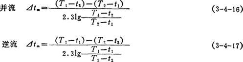
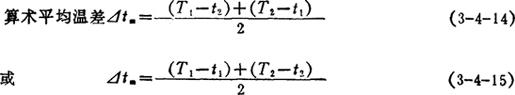
(1)算术平均温差与对数平均温差的计算。

(逆流,图3-4-29)或(并流,图3-4-30)小于2时,可采用算术平均温差。大于2时采用对数平均温差。

图3-4-29 逆流传热时温度分布

图3-4-30 并流传热时温度分布

式中 ⊿tm——传热温差(℃)

T1T2——热流体进出口温度(℃)

t1t2——冷流体进出口温度(℃)

对数平均温差:

折流和错流时的平均温度差仍按上式计算,但应乘-校正系数ε。

ε由热容量比R和加热温度效率P决定;

ε值也可从图3-4-31中查取。

图3-4-31 错流、折流中修正系数ε与热流状态关系

1-单壳程、两管程或两管程以上 2-双壳程、四管程或四管程以上 3-单通道错流换热器(液体之间不混合)

(2)对数平均温差查图法,见图3-4-32。

图3-4-32 对数平均温差计算图

式中 ⊿tm——对数平均温差(℉)

⊿T1——热交换最大传热温差(℉)

⊿T2——热交换最小传热温差(°F)

根据式(3-4-18)绘制的计算图。

使用方法:先计算⊿T1、⊿T2;由标尺⊿T1向上作垂线,由标尺⊿T2向左作水平线,两线相交;由交点沿曲线引向标尺⊿tm交点即为所求值。

随便看

 

离鸟网收录3541549条中英文词条,其功能与新华字典、现代汉语词典、牛津高阶英汉词典等各类中英文词典类似,基本涵盖了全部常用中英文字词句的读音、释义及用法,是语言学习和写作的有利工具。

 

Copyright © 2004-2024 vtrois.com All Rights Reserved
更新时间:2026/4/19 12:39:18