网站首页  词典首页


请输入您要查询的字词:

 

字词 价格-消费曲线
类别 中英文字词句释义及详细解析
释义

价格-消费曲线


描述在货币收入不变的条件下,某种商品价格变化所引起的消费均衡点运动的轨迹。

图1属于正常情形。图2中商品1是吉芬商品,其需求量与价格正向变动,违背了需求规律。

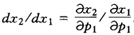
图3中两种商品为替代品。价格-消费曲线可以用来分析在收入不变的情况下,价格变化对消费均衡的影响,并且据此可以推导出需求价格曲线。设马歇尔需求函数如下:

x1=x1(p1,p2,m) …(1)

x2=x2(p1,p2,m) …(2)

在p2和m不变的情况下,(记为p20,m0),由(1)式得到:

其中,是x1(p1,m0)的反函数。将(3)式代入(2)式有:

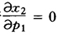
,则dx2/dx1>0(图1);

,则dx2/dx1<0(图2);

,则dx2/dx1<0(图3);

,则dx2/dx1=0,PCC为一条平行于x轴的直线。

(4)式就是价格-消费曲线的函数形式。

图1

图2

图3

〖参〗收入-消费曲线

随便看

 

离鸟网收录3541549条中英文词条,其功能与新华字典、现代汉语词典、牛津高阶英汉词典等各类中英文词典类似,基本涵盖了全部常用中英文字词句的读音、释义及用法,是语言学习和写作的有利工具。

 

Copyright © 2004-2024 vtrois.com All Rights Reserved
更新时间:2026/4/21 12:13:12