网站首页  词典首页


请输入您要查询的字词:

 

字词 价格效应
类别 中英文字词句释义及详细解析
释义

价格效应


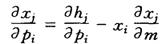
在消费者偏好、货币支出不变的情况下,某种商品价格Pi变化对特定商品需求量xj变化的影响。例如由于其中一种商品的价格下跌使得消费者在不增加货币支出的情况下,可以增加对降价商品的购买量,从而使得消费者能够获得更大的效用。这种现象实际上是由替代效应和收入效应共同构成的,即斯卢茨基方程:

左端是价格效应,右端第一项是替代效应,第二项是收入效应。

〖参〗替代效应

收入效应

随便看

 

离鸟网收录3541549条中英文词条,其功能与新华字典、现代汉语词典、牛津高阶英汉词典等各类中英文词典类似,基本涵盖了全部常用中英文字词句的读音、释义及用法,是语言学习和写作的有利工具。

 

Copyright © 2004-2024 vtrois.com All Rights Reserved
更新时间:2026/4/20 19:03:13