网站首页  词典首页


请输入您要查询的字词:

 

字词 代数运算
类别 中英文字词句释义及详细解析
释义

代数运算


1.乘法公式与因式分解

(x+a)(x+b)=x2+(a+b)x+ab

(a±b)2=a2±2ab+b2

(a±b)3=a3±3a2b+3ab2±b3

a2-b2=(a+b)(a-b)

(a+b+c)2=a2+b2+c2+2ab+2bc+2ac

2.分式运算

3.比例

(或写为a∶b=c∶d),a、b、c、d均不为零,则有:

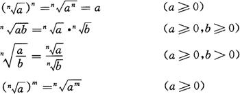
4.根式运算

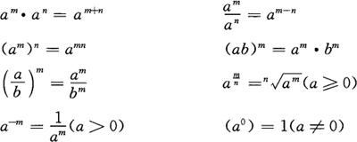
5.指数运算

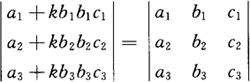
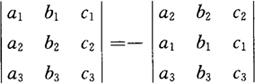
6.行列式

应当注意,二阶和三阶行列式的值可以用斜乘的方法直接求出,而对四阶及四阶以上的行列式的求值,只能采用展开降阶的方法。展开时可用按行展开或按列展开的方式,上面例子中是按行列式的第一列进行展开的。展开后各项的符号取决于展开元素的行列式中的位置,当该元素在行列式中的行数与列数之和为偶数时,该项取正号,当行数与列数之和为奇数时,则取负号。

(4)行列式的性质(以三阶为例)

①转置后,行列式的值不变。例如:

②互换行列式的任意两行(列),行列式变号。例如:

③用数k乘以行列式的一行(列),等于将行列式乘以数k。例如:

④将行列式的一行(列)元素乘以数k后加到另一行(列)的对应元素上,行列式的值不变。例如:

⑤若行列式中某一行(列)的所有元素都可表示为两项之和,则该行列式可用两个同阶的行列式之和来表达。例如:

⑥若行列式中有一行(列)全为零,则行列式为零。若行列式中有两行(列)对应的元素完全相同或成比例,则行列式为零。

随便看

 

离鸟网收录3541549条中英文词条,其功能与新华字典、现代汉语词典、牛津高阶英汉词典等各类中英文词典类似,基本涵盖了全部常用中英文字词句的读音、释义及用法,是语言学习和写作的有利工具。

 

Copyright © 2004-2024 vtrois.com All Rights Reserved
更新时间:2026/4/18 16:07:00