网站首页  词典首页


请输入您要查询的字词:

 

字词 从一媒质到另一媒质的垂直入射
类别 中英文字词句释义及详细解析
释义

从一媒质到另一媒质的垂直入射


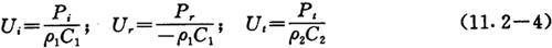
在图11.2-4中,令OO表示媒质Ⅰ及Ⅱ的分界面,其特性阻抗分别为ρ1C1及ρ2C2,假定有一平面波在x正方向由媒质Ⅰ垂直入射于媒质Ⅱ。

图11.2-4 平面波在两个媒质界面上的入射、反射及透射

入射波可以表示为:

Pi=Piej(ωt-k1x) (11.2-10)

式中 Pi为复常数,代表这入射波的复数声压振幅。在这两媒质的交界面上,选择坐标x=0,则可分别表示反射波及透射波为:

Pr=Prej(ωt+k1x) (11.2-11)

Pt=Ptej(ωt-k2x) (11.2-12)

透射波的频率与入射波的相同,但由于两媒质的声速C1与C2不同,故媒质Ⅰ的波长常数及媒质Ⅱ的波长常数也不相同。

K在任意时刻,媒质分界面上的任何一点必须要满足以下两个边界条件,即:

1)界面两边的声压相等;

2)垂直于界面两边的质点速度相等。第一个声压连续条件是由流体中压力连续的基本定律得出的。第二个条件,则与界面上要保持固定接触的要求是相当的。

由于压力是标量,故在媒质Ⅰ中声压为pi+Pr,根据条件1),在x=0处有

piejwt+Prejwt=ptejwt

故有 pi+pr=pt (11.2-13)

媒质Ⅰ中的质点速度为Ui+Ur,故在x=0处条件2)的要求是Ui+Ur=Ut。根据以往的声压与质点速度的关系,可给出:

于是就有:

代入x=0处的声压表达式就得到

ρ2C2(Pi-Pr)=ρ1C1Pt (11.2-15)

联立(11.2-13)及(11.2-15)两式,并消去Pt,就得到:

式中 r122C2/ρ1C1,即第二媒质与第一媒质特性阻抗之比。

由(11.2-16)式可知,Pr/Pi为一实数,故在分界面上的反射声压与入射声压为同相或相差180°,由于r12>1或r12<Ⅰ决定。当媒质Ⅱ的特性阻抗大于媒质Ⅰ的特性阻抗时,这正如一平面波由空气入射在水面上一样,这是入射正的声压,反射也为正的声压。而当r12<1时,这正如平面波由水中入射在空气界面上,这时入射正声压时,反射为负声压,即相差180°。

通常,反射波对入射波的声压振幅比

都小于1,除非是r12→∞的极限情况,也就是从很刚硬或很紧密的媒质到很稀疏的媒质的反射。或者r12→0,即就是从很柔软或稀疏的媒质的反射。若r12→∞,则反射波的振幅和位相都没有变化,在媒质Ⅰ中就形成以分界面为波腹的驻波。若r12→0,则反射波的振幅还是与入射波的振幅相同,并且在媒质Ⅰ中形成驻波,但这时,交界面是声压波节,除非是稀薄的媒质不能承受压力的很大的变化之外。

另外一种特殊的情况是r12=1,即Pr/Pi=0,这表示没有反射波,因此从媒质Ⅰ到媒质Ⅱ时没有能量的反射,这就是ρ1C12C2

前已指出,平面波的声强为

I=P2/2ρC

故反射声强与入射声强之比为

αr称为声音的反射系数。

联立(11.2-13)与11.2-15)式并消去Pr,就有

这表示,在分界面上,不管r12的值如何,透射波的声压总与入射波的声压是同相位的。而且当r12很大时,如从空气到风,透射的声压振幅Pi就接近于2Pi,当r12很小时,如从水到空气,则Pt的值接近于零。

声透射系数αt为:

(11.2-20)

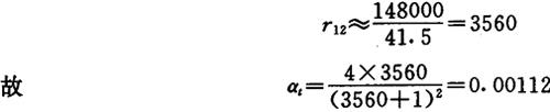
由表达式可知,当r12《1或r12》1时,声透射系数都很小。例如:

水对空气的特性阻抗比为

因此,在垂直方向传播,无论是由水到空气,还是由空气到水,声能均减少不多。

【参考文献】:

[1]IEC—327,Precision method for pressure calibration or one—inch standard condenser microphones by the reciprocity technique. 1971.

[2]1EC—486,Precision method for free—field calibration of one inch standard condenser microphones by reciprocity technique, 1974.

[3]IEC—150.Testing and calibration of ultrasonic therapeutic equipment, 1963.

[4]GB 3223-82,水声换能器的自由场互易校准

[5]GB 3785-83,声级计的电,声性能及测量方法

[6]GB 7341-87,听力计

[7]GB 7614-87,校准测听耳机用宽频带型仿真耳

[8]GB 7342-87,测听耳机校准用IEC临时参考耦合腔

[9]OIML R102,声校准器

[10]JJG 188-90,声级计

[11]JJG 698-90,积分声级计

[12]标准电容传声器有关国家标准及检定规程

[13]JJG 388-85,听力计

随便看

 

离鸟网收录3541549条中英文词条,其功能与新华字典、现代汉语词典、牛津高阶英汉词典等各类中英文词典类似,基本涵盖了全部常用中英文字词句的读音、释义及用法,是语言学习和写作的有利工具。

 

Copyright © 2004-2024 vtrois.com All Rights Reserved
更新时间:2026/4/19 18:47:53