网站首页  词典首页


请输入您要查询的字词:

 

字词 亮度温度法
类别 中英文字词句释义及详细解析
释义

亮度温度法


辐射测温法可分为:亮度温度法、全辐射测温法、颜色温度法和多色法四种。

亮度温度法的使用范围包括目视光学高温计、光电高温计、光谱高温计等。用此法测得的温度称为亮度温度,以Ts表示。这种方法是辐射测温学中一种经典方法,在工业和科学技术中获得最广泛的应用。各国家标准实验室应用亮温法原理与现代技术相结合已制成各种光电比较仪或光电高温计以复现国际温标、保存和传递准确的温度值。中国计量科学研究院高温辐射室1988年研制的新一代“直流光电温度比较仪”已达国际上较高水平,仪器在960℃可获得1毫开的分辨力,即相对分辨力1×10-6。应用近红外波长测定660℃,可获得1mK的分辨力和5mK的重复性。

亮温法的理论基础是普朗克定律。它定量地表示了黑体的光谱辐射亮度与温度之间的函数关系。但是,在实际中很多物体不是黑体,因此,不能直接使用普朗克公式,这种情况下,必须引入亮度温度的概念,使非黑体温度在一定条件下用黑体温度表示。

亮度温度的定义是:当物体在波长λ和温度T时的光谱辐射亮度等于某黑体在同一波长下的光谱辐射亮度,此时,黑体的温度Ts称为该物体的亮度温度。其公式表示为:

平均有效波长λe

式中:ε(λ,T)是该物体在波长为λ温度为T时的光谱发射率。等号左侧为实际物体的光谱辐射亮度,右侧为黑体的光谱辐射亮度。Ts就是实际被测物体的亮度温度。

若被测物体的光谱发射率ε(λ,T)已知,可将亮度温度换算成真实温度T。用维恩公式表示的换算公式为:

单一波长的辐射测温仪器在实际中是不存在的,测量仪器的谱带有一定宽度,因此,公式(4.3-9)实际上是一个积分等式。

式中,τ(λ)为仪器单色器的光谱响应,S(λ)为接受器的光谱响应,λ1,λ2为仪器光谱响应的下限和上限波长。

温标复现和传递时,常引用平均有效波长和极限有效波长的概念,其目的是为解决理论上要求的单一波长和实际上存在波长积分段的矛盾。它们的定义用公式来表示为:

极限有效波长λT

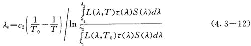
图4.3-2为隐丝式目视光学高温计的结构示意图。图中B为光源,L1为主物镜,D1为限制光阑,A为减弱玻璃,P为高温计灯泡,L2为显微物镜,F为红色滤光片。光源B通过物镜L1成象在高温计灯泡P的灯丝平面上,比较灯丝的亮度与光源B象的亮度,调节灯丝电流使灯丝亮度与被测物像的亮度达到平衡,则可测出被测物体的亮温。隐丝式光学高温计的测温范围较宽,一般为700-3200℃。它的最大缺点是测量准确度受人眼对比灵敏度的限制,在视见函数为最佳值时,有经验的观测者多次测量平均值的重复性最好可达±0.5℃。另外用人眼为接受器也达不到快速测量和摇控测量的目的。其优点是:结构简单、测量方便、可满足工业和科学中实际测量的一般准确度要求。

图4.3-2 隐丝式目视光学高温计结构示意图

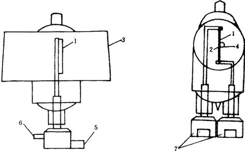
复现ITS-90往往采用高准确度光电比较仪或光电高温计。图4.3-3为中国计量科学研究院的基准光电温度比较仪。该仪器采用测量光谱辐射亮度比的比较方法消除或减少了实验中的某些误差,使仪器的测量分辨力和重复性大大提高。物镜焦距为360mm,放大倍数为1。视场光阑直径为0.75mm,仪器的孔径比为1/7~1/20,可选用半宽带为10nm、峰值波长为660nm和950nm等多种干涉滤光片,光电探测器采用硅光电二极管。测量银凝固点温度时,探测器的输出约为10-11A。采用高灵敏度微电流放大器,使仪器获得1mK分辨力。仪器复现银凝固点的不确定度优于40mK。该仪器作为国家基准仪器复现961.78℃以上的国际温标。

1-转动反射镜;2-物镜;3-一视场光阑;4-第一会聚镜;5-限制光阑;6-瞄准用光阑;7-减弱滤光片;8-干涉滤光片;9-电动光闸门;10-第二会聚镜;11-密封窗口;12-探测器;13-恒温器;14、15、17-瞄准有反射镜;16-瞄准系统物镜;18-固定分划板;19-可动十字分划板;20-目镜;21、22-辐射源;23-小孔外光阑

图4.3-3 直流光电温度比较仪光路布置

黑体是复现国际温标的必备辐射源,但是对于保存和传递国际温标来说不很方便。钨带灯作为标准辐射源用来分度单色辐射高温计是非常方便的。目前,钨带灯仍是保存高温温区量值的唯一基准器。

钨带上某一限定小区域内在给定波长和给定方向上的光谱辐射亮度,可以用流过钨带灯的电流来表示。灯电流与亮度温度的关系在很宽温度范围内具有良好的重复性。真空灯用于700~1700℃,充气灯用于1500~2200℃(黑体灯可用到2700℃)。

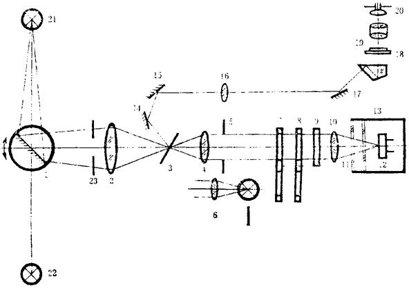
钨带灯由透明玻璃泡壳和其内的扁平钨带构成。钨带灯有真空和充气两种类型。真空灯的泡壳内被抽真空以防氧化和沾污,此时,灯的使用范围从700℃到1700℃。使用温度上限与灯的结构有关,圆柱泡壳灯可用到1400℃,高稳定型可用到1700℃。这决定于钨带灯的结构及泡壳内的真空度。在灯内充入惰性气体可抑制钨的蒸发,通常使用纯氩气或氪气。这种灯称为充气灯,圆柱型灯使用上限为2000℃,高稳定灯可用到2200~2300℃。中国计量科学研究院研制的高稳定钨带灯的结构如图4.3-4所示。

图4.3-4 高稳定度真空钨带灯

钨带灯作为亮度标准,必须考虑它的复现性,因此,下列影响钨带灯性能的主要因素应予以考虑:

(1)钨带电阻的重复性;

(2)温度梯度和发射率变化;

(3)钨带灯对于观测系统光轴的方位的影响;

(4)环境温度及灯座温度变化的影响;

(5)窗口的清洁程度;

(6)环境辐射

【参考文献】:

[1]师克宽等,过程参数检测,中国计量出版社,1990。

[2]王江,现代计量测试技术,中国计量出版社,1990。

[3]鲁绍曾,现代计量学概论,中国计量出版社,1987。

[4]赵琪 原遵东等,用于ITS-90的直流光电温度比较仪,计量学报(1990),Vo1,11,No.4,P.241。

[5]H.Preston-Thomas,The International Temperature Scale of 1990,CCT BIPM,1990

[6]蒋思敬、姚土春编,压力研究。

[7]M·K,若霍夫斯基着,李燕、黄国政等译,压力和疏空计量技术。

[8]Supplementary Information for the International Temperature Scale of 1990,CCTBIPM,1990。

[9]Techniques for Approximating The International Temperature Scale of 1990,CCT BIPM,1990。

[10]王魁汉,温度测量技术,东北工学院出版社,1991。

[11]沈正宇、王凤诚,从计量保证方案(MAP)谈一等标准水银温度计的检定质量,第二届全国温度测量与控制学术会议论文集,P340-345,1990。

[12]压力计量名词术语及定义,JJG,1008-87。

[13]知久明、金田良作等合编,房景富、韩慧文、袁先富译,压力测试仪器的管理。

[14]许第昌编,压力计量测试。

[15]蔡武昌等编,流量测理方法和仪表选用指南。

[16]川田裕郎等编着,流量测量手册。

[17]苏彦勋、盛健、梁国伟编着,流量计量与测试。

随便看

 

离鸟网收录3541549条中英文词条,其功能与新华字典、现代汉语词典、牛津高阶英汉词典等各类中英文词典类似,基本涵盖了全部常用中英文字词句的读音、释义及用法,是语言学习和写作的有利工具。

 

Copyright © 2004-2024 vtrois.com All Rights Reserved
更新时间:2026/4/18 12:49:04