网站首页  词典首页


请输入您要查询的字词:

 

字词 亚磷酸二苯·壬基苯酯
类别 中英文字词句释义及详细解析
释义

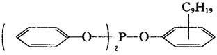
亚磷酸二苯·壬基苯酯


【结构式】:

【释文】:

性质 淡黄色透明液体。分子量436.54。相对密度1.070。

用途 本品可作为聚氯乙烯用螯合剂、丁苯橡胶抗氧剂。

国外生产厂

随便看

 

离鸟网收录3541549条中英文词条,其功能与新华字典、现代汉语词典、牛津高阶英汉词典等各类中英文词典类似,基本涵盖了全部常用中英文字词句的读音、释义及用法,是语言学习和写作的有利工具。

 

Copyright © 2004-2024 vtrois.com All Rights Reserved
更新时间:2026/4/20 0:47:33