网站首页  词典首页


请输入您要查询的字词:

 

字词 亚硝酸的测定(高锰酸钾容量法)
类别 中英文字词句释义及详细解析
释义

亚硝酸的测定(高锰酸钾容量法)


(一)适用范围 粗制的硝酸盐肥料往往含有亚硝酸,因此常是本项目的测定对象。本法是在硫酸条件下,高锰酸钾氧化亚硝酸,使本身红色褪尽而指示终点。方法操作简便迅速,适用于日常检验工作。但不适用于含有其它还原性物质或有机物质的化学肥料。

(二)试剂配制

1.0.1N高锰酸钾标准溶液 称取高锰酸钾3.2g,溶于1L蒸馏水中,加热至沸,保持微沸10-15min。在暗处静置24h,标定时,用虹吸管将上层清液吸至另一棕色瓶中,底部溶液弃去,按下法标定其当量浓度。

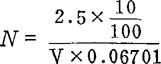
称取经110℃烘干的草酸钠(Na2C2O4)结晶2.5000g溶于少量蒸馏水后,全部移入100ml容量瓶中定容。摇匀后吸取10ml于250ml三角瓶中,加蒸馏水至100ml,加1∶5硫酸20ml,加热至70-80℃(不允许超过80℃)用高锰酸钾标准液滴定,直至粉红色30s不退为终点,按下式计算高锰酸钾的当量浓度(N):

式中:草酸钠溶液所相当的草酸钠的克数;

V——滴定所消耗的高锰酸钾液体积(ml);

0.06701——草酸钠的毫当量(g)。

2.1∶5硫酸。

(三)测定步骤 称取样品25g(准确至0.01g),溶于少量水后,全部无损地移入250ml容量瓶内,定容至刻度,摇匀。如溶液不清澈,可用干器皿过滤,弃去最初的浑浊液后,将滤液装入50ml滴定管中。另取一个250ml三角瓶,加40ml蒸馏水,10ml1∶5硫酸,摇匀。加热至40℃,趁热逐滴滴加入高锰酸钾标准液,边滴边摇,直至三角瓶内容物出现极浅的微红色,且30s不退止。随即用移液管准确加入高锰酸钾标准液1ml,摇匀,加热至40℃,立即用装有样品液的滴定管,滴定此红色溶液,直至红色褪尽为止。记下样液消耗体积(ml)。

(四)结果计算

式中:N——高锰酸钾标准液的当量浓度;

V——用移液管加入的高锰酸钾标准液的体积(本操作为1ml);

0.0235——每毫当量亚硝酸(HNO2)的克数;

B——样品待测液的总体积(本操作为250ml);

A——滴定所消耗样液体积(ml);

W——样品重(g)。

(五)注释

①最初逐滴滴入高锰酸钾标准液是为消除蒸馏水中可能存在的能与高锰酸钾起作用的还原性物质及其它有机物。

②用移液管加入的高锰酸钾标准液量,应随待测试样中亚硝酸含量高低而异。一般含量在0.05-0.50%范围内,可加1ml;高于0.50%的,高锰酸钾含量可以相应增加;低于0.05%的,可将0.1N高锰酸钾稀释成0.01N,然后再加入相应的量。

随便看

 

离鸟网收录3541549条中英文词条,其功能与新华字典、现代汉语词典、牛津高阶英汉词典等各类中英文词典类似,基本涵盖了全部常用中英文字词句的读音、释义及用法,是语言学习和写作的有利工具。

 

Copyright © 2004-2024 vtrois.com All Rights Reserved
更新时间:2026/4/21 15:07:18