网站首页  词典首页


请输入您要查询的字词:

 

字词 二重积分的换元法
类别 中英文字词句释义及详细解析
释义

二重积分的换元法


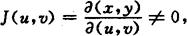
二重积分的换元法 设f(x,y)在Oxy平面上的闭区域D上连续.变换

将Ouv平面上的闭区域D′变为Oxy平面上的D,且满足

(1)x(u,v),y(u,v)在D′具有一阶连续偏导数,

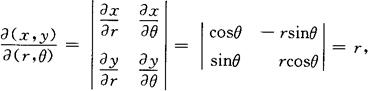
(2)在D′上雅可比(Jacobi)行列式

其中

(3)变换T:D′→D是一对一的,则有

上式称为二重积分的换元公式.

注 雅可比式J(u,v)只在D′上个别点或一条曲线上为零,公式仍成立.

,其中D是x≥0,y≥0及(R1<R2)如图10.6所示的闭区域.

图10.6

解 做变换T

将D′:r=R1,r=R2,θ=0及变换为D,而雅可比式为

随便看

 

离鸟网收录3541549条中英文词条,其功能与新华字典、现代汉语词典、牛津高阶英汉词典等各类中英文词典类似,基本涵盖了全部常用中英文字词句的读音、释义及用法,是语言学习和写作的有利工具。

 

Copyright © 2004-2024 vtrois.com All Rights Reserved
更新时间:2026/4/21 9:44:33