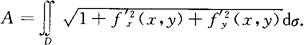
曲面面积公式 设曲面S的方程为z=f(x,y),D为曲面S在Oxy平面上的投影区域,f(x,y)在D上有一阶连续偏导数,则曲面S的面积

平面薄片质量的计算公式 设平面薄片占Oxy平面上闭区域D,其上面密度(单位面积上的质量)为(x,y)的连续函数,即面密度为
ρ=ρ(x,y),
则该薄片的质量m为

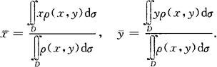
平面薄片重心的计算公式 设平面薄片占Oxy平面上闭区域D,其上面密度ρ=ρ(x,y)为连续函数,重心坐标为
,则

平面薄片转动惯量的计算公式 平面薄片对x轴与y轴的转动惯量分别为

其中D为薄片所占的在Oxy平面上的闭区域,ρ(x,y)为其密度.
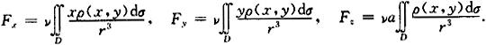
平面薄片对质点引力的计算公式 平面薄片对其位于(0,0,a)处单位质点的引力在x轴,y轴及z轴上的分力分别为

其中v为引力系数,
,ρ(x,y)为薄片的面密度.D为薄片在Oxy平面上所占的闭区域.