网站首页  词典首页


请输入您要查询的字词:

 

字词 二重卷边各部分名称
类别 中英文字词句释义及详细解析
释义

二重卷边各部分名称


二重卷边剖面及各部分名称见图3-3-7。二重卷边主要尺寸我们在金属罐灌装线封罐机一节已列出二重卷边主要尺寸,现就图示各部分详细加以说明。

图3-3-7 二重卷边图

1.卷边厚度T(Thickness)

卷边厚度T的标准按罐径或按罐型进行分类。当所用板材厚度改变时,即使是同一罐径的空罐,其卷边厚度T也将按以下公式来变化。

一般地,二道卷边的厚度T决定于二道卷边滚轮的卷封压力。二道卷边滚轮的压力大时,T变小。压力小时,T变大。当罐身和罐盖所用板材厚度发生变化时,T的标准尺寸可以由下面公式算出。

T=3tc+2tb+g1+g2+g3+g4

式中 tc——罐盖材料的厚度

tb——罐身板的厚度

g1+g2+g3+g4……是卷边内部各层板材之间的缝隙尺寸的总和(G)。该值根据以下条件而有不同:

①二道卷边滚轮沟槽的形状;

②封口胶的种类和涂布量;

③罐身与罐盖涂料的种类等。

g1+g2+g3+g4即G的标准值,一般在0.10~0.40mm范围内(65.3~98.9mm直径的镀锡板罐一般采用0.15mm)。

2.卷边宽度W(Width)

同样,卷边宽度W也有标准。W尺寸一般根据滚轮沟槽的形状、头道与二道卷边滚轮的形状和卷封压力、下压头的推压力、身钩以及罐身和盖的板厚,还有滚轮的磨损状况等主要因素而变化。作为参考,卷边宽度W也可以用以下公式计算。不过这一公式没有卷边厚度T的计算式来得重要。

W=1.1tc+BH+LC+1.5tc

3.埋头度C(Counter sink)

埋头度C大体上由上压头凸缘的厚度来决定。铝盖卷边罐由于盖的形状不同,上压头也与一般马口铁罐所用的不一样,故C的尺寸也有变化。

4.实罐罐高H(Both end seam finished can height)

实罐罐高H通常比空罐罐高(One end seam finisshed can height)约低0.25mm。

5.身钩宽度BH(Body hook)

身钩宽度BH是罐身翻边所弯曲的长度,随下压头的推压力和罐身翻边半径R等而变化。一般地如果BH值小,容易发生漏罐,而BH过大,盖钩就变得过小。

6.盖钩宽度CH(Cover hook)

盖钩宽度CH(有时也称底盖钩边),是指罐盖卷曲部分在卷边内部的弯曲长度。CH主要随头道卷边滚轮的沟槽形状和弯卷状况而变化,也随T的大小、BH以及C的大小而变化。

7.盖钩空隙(上空隙)UC(Upper clearance)身钩空隙(下空隙)LC(Lower clearance)

在一般的罐头中,盖钩空隙UC和身钩空隙LC希望小一点,这是因为介于卷边部分的封口胶膜由于卷封时受到的压力而向卷边空隙部分移动,因此如果UC、LC过大,密封胶就向这空隙移动并集聚,而不能牢固压缩、隔绝于板材之间,致使密封效果变差。

UC、LC值变大的原因有以下几种情况:

①头道卷边弯卷不充分;

②二道卷边滚轮的压力过强,滚轮的下颚使CH卷边下垂;

③相对于头道滚轮的沟槽来说,二道卷边滚轮沟槽过高,同样由于二道卷边滚轮使CH卷边下垂;

④BH或CH较小。

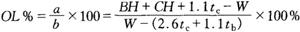
8.卷边钩边迭接率OL%

迭接率OL%是表示卷边内部的BH和CH重合的程度。即图3-3-8所示的a比b的百分数。根据a、b两个部分的实际测量值进行计算是最正确的,也可以用以下公式近似地表示。

图3-3-8 二重卷边的迭接率

式中 tb——罐身铁皮厚度

tc——罐盖板料厚度

迭接率也可由表3-3-10查得,查表顺序举例如下:

表3-3-10 迭接率计算表

已知:tc=0.23mm,tb=0.23mm,W=2.90mm,BH=2.08mm,CH=2.10mm,求迭接率。

tc+tb=0.46mm,首先从tc+tb栏左起第4行找到0.46,从0.46行向下找到BH+CH=4.18。然后由2tc+tb栏下起第3行找到0.70,(2×0.23+0.23)=0.69≈0.70,再从同一行左起第8行找到W=2.90,从4.18与2.90行列的交叉点求得迭接率为75%。

按公式计算的L%=74.3%,与查表法相差无几。

9.卷边迭接长度OL(Overlap length)

卷边迭接长度是指卷边内部的BH和CH重合部分的长度(图3-3-8的a部分),可以由下式近似求得:

OL=BH+CH+1.1tc-W

随便看

 

离鸟网收录3541549条中英文词条,其功能与新华字典、现代汉语词典、牛津高阶英汉词典等各类中英文词典类似,基本涵盖了全部常用中英文字词句的读音、释义及用法,是语言学习和写作的有利工具。

 

Copyright © 2004-2024 vtrois.com All Rights Reserved
更新时间:2026/4/19 4:07:23