网站首页  词典首页


请输入您要查询的字词:

 

字词 二维随机变量的条件分布
类别 中英文字词句释义及详细解析
释义

二维随机变量的条件分布


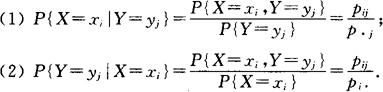
离散型随机变量的条件分布律

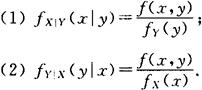
连续型随机变量的条件密度函数

随便看

 

离鸟网收录3541549条中英文词条,其功能与新华字典、现代汉语词典、牛津高阶英汉词典等各类中英文词典类似,基本涵盖了全部常用中英文字词句的读音、释义及用法,是语言学习和写作的有利工具。

 

Copyright © 2004-2024 vtrois.com All Rights Reserved
更新时间:2026/4/18 22:38:24