网站首页  词典首页


请输入您要查询的字词:

 

字词 二维随机变量的函数的分布
类别 中英文字词句释义及详细解析
释义

二维随机变量的函数的分布


和的分布

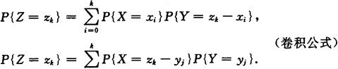
已知X,Y的分布,Z=X+Y,求Z的分布.

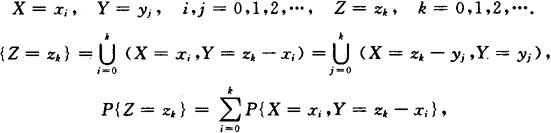
1.离散型随机变量

已知(X,Y)的联合分布律,或X,Y的边缘分布律.Z=X+Y,Z为离散型随机变量,求Z的分布律.

若X,Y相互独立,则有

2.泊松分布和的分布,二项分布和的分布

(1)若X~P(λ1),Y~P(λ2),相互独立,则X+Y~P(λ12).

(2)若Xi~P(λi),i=1,2,…,n,Xi之间相互独立,,则Z~ P(λ),其中

(3)若X~B(n1,p),Y~B(n2,p)相互独立,则X+Y~B(n1+n2,p).

3.连续型随机变量

若X,Y相互独立,密度函数分别为fX(x),fY(y),Z=X+Y,则有

注意:具体计算时,积分限要由密度函数值的非零域来确定.

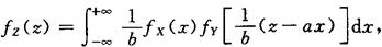
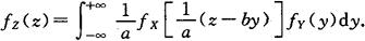
线性和的分布 若X,Y相互独立,密度函数分别为fX(x),fY(y),Z=aX+bY(ab≠0),则有

注意:具体计算时,积分限要由密度函数值的非0域来确定.

一般变换定理 设二维随机变量(X,Y)的联合密度函数为f(X,Y)(x,y),并有函数U=u(X,Y),V=v(x,y).如果函数u=u(x,y),v=v(x,y)有惟一的单值反函数x=x(u,v),y=y(u,v),且有连续的一阶偏导数,则二维随机变量(U,V)的联合密度函数为

f(U,V)(u,v)=f(X,Y)[x(u,v),y(u,v)]|J|,

其中J为雅可比行列式,即

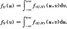
关于U,V的边缘密度函数为

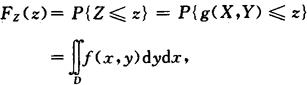
一般函数Z=g(X,Y)的分布

以连续型随机变量为例.设(X,Y)的联合密度函数为f(x,y),Z=g(X,Y),则Z的分布函数为

其中D为g(x,y)≤z所表示的平面域.

Z的概率密度函数为

最大值,最小值的分布

(1)设X1,X2,…,Xn为相互独立的n个随机变量,分布函数分别为FX1(x1),FX2(x2),…,FXn(xn),记

M=maX(X1,X2,…,Xn),

N=min(X1,X2,…,Xn).

M,N的分布函数分别为

FM(z)=FX1(z)FX2(z)…FXnn(z),

FN(z)=1-[1-FX1(z)][1-FX2(z)]…[1-FXn(z)].

若X1,X2,…,Xn同分布,分布函数为F(x),密度函数为f(x),则有分布函数

FM(z)=[F(z)]n

FN(z)=1-[1-F(z)]n

M,N的密度函数为

fN(z)=n[1-F(z)]n-1f(z).

(2)指数分布的最小值的分布

①设X~E(λ1),Y~E(λ2)相互独立,Z=min(X,Y),则Z~E(λ1+λ2).

②设Xi~E(λi)(i=1,2,…,n),Xi之间相互独立,Z=min{X1,X2,…,Xn},则Z~E(λ),其中

随便看

 

离鸟网收录3541549条中英文词条,其功能与新华字典、现代汉语词典、牛津高阶英汉词典等各类中英文词典类似,基本涵盖了全部常用中英文字词句的读音、释义及用法,是语言学习和写作的有利工具。

 

Copyright © 2004-2024 vtrois.com All Rights Reserved
更新时间:2026/4/18 23:41:38