网站首页  词典首页


请输入您要查询的字词:

 

字词 二甲苯甲醛树脂
类别 中英文字词句释义及详细解析
释义

二甲苯甲醛树脂


别名 二甲苯树脂

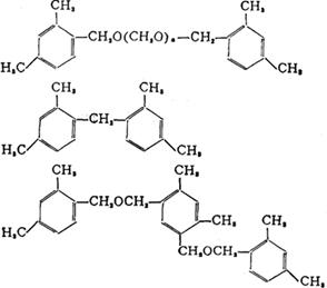
结构式

性能 它的分子结构基本上是线性聚芳醚。分子端基有羟甲基。利用其醚基、羟甲基和缩聚基可与多种树脂进行改性,以提高涂料的耐热性、耐化学性及电性能。

质量规格(参考)

用途 使用于油漆、油墨工业中。油墨中大多用于制造金墨、黑墨。

包装贮运 241dm(53加仑)桶包装。贮运中应注意通风、干燥,防止日光直接照射,要远离热源、火源。

国内生产厂 江苏苏州树脂厂、上海造漆厂、湖北武汉造漆厂、天津造漆厂等。

随便看

 

离鸟网收录3541549条中英文词条,其功能与新华字典、现代汉语词典、牛津高阶英汉词典等各类中英文词典类似,基本涵盖了全部常用中英文字词句的读音、释义及用法,是语言学习和写作的有利工具。

 

Copyright © 2004-2024 vtrois.com All Rights Reserved
更新时间:2026/4/19 4:57:20