网站首页  词典首页


请输入您要查询的字词:

 

字词 乳糖醇
类别 中英文字词句释义及详细解析
释义

乳糖醇


别名 4-β-D-吡喃半乳糖-D-葡萄糖醇

编码 GB 19.000;INS 966

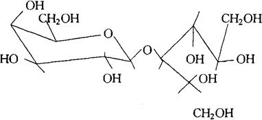
化学结构

C12H24O11 相对分子质量 344.32

性状 本品有无水物、一水物、二水物及水溶液(40%)之不同。呈白色结晶或结晶性粉末,或无色液体。无臭、味甜,甜度为蔗糖的30%~40%,热量约为蔗糖的一半。稳定性高、不吸湿。熔点,无水物为146℃,一水物94~97℃,二水物70~80℃。水合物加热至100℃以上逐渐失去水分,250℃以上发生分子内脱水生成乳焦糖。本品极易溶于水,10%水溶液的pH为4.5~8.5。

制法 由乳糖催化加氢,精制而成。

质量标准

*各项指标除水分外,均以无水物计。

鉴别方法

(1)极易溶于水。

(2)旋光度〔α〕(10%水溶液,以无水物计)+13°~+15°。

(3)高压液相主峰与乳糖醇标准样相同。

毒理学依据

1.LD50 小鼠口服大于10g/kg(bw)。

2.致突变试验 微核试验、精子畸变试验、Ames试验,均呈阴性。

3.ADI 无需规定(FAO/WHO,1994)。

使用 甜味剂。

1.使用注意事项

(1)本品比乳糖稳定,在pH3~7.5,温度60℃下放置1个多月,未见分解产物,煮沸或消毒亦未见变色,但在强酸或强碱中,放置2个月以上,会有分解产物(约10%),加热时更易水解,变成微黄色。

(2)本品用于焙烤食品,当温度升至250℃时,可产生黄色。

(3)本品代谢与胰岛素无关,不增加血糖浓度,可供糖尿病人食用。大剂量可引起腹泻。

2.使用范围及使用量

(1)我国《食品添加剂使用卫生标准》(GB 2760-1996)规定:可按正常生产需要适量用于果汁(味)型饮料、冰淇淋、糕点、乳饮料。

(2)实际使用参考:本品尚可应用于各种糖果如巧克力、硬糖、软糖、口香糖以及冷冻甜食、焙烤食品等。

随便看

 

离鸟网收录3541549条中英文词条,其功能与新华字典、现代汉语词典、牛津高阶英汉词典等各类中英文词典类似,基本涵盖了全部常用中英文字词句的读音、释义及用法,是语言学习和写作的有利工具。

 

Copyright © 2004-2024 vtrois.com All Rights Reserved
更新时间:2026/4/18 7:58:43