网站首页  词典首页


请输入您要查询的字词:

 

字词 乳糖
类别 中英文字词句释义及详细解析
释义

乳糖


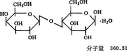
结构式

性能 白色结晶或结晶性粉末,味甜,甜度约为蔗糖的70%。相对密度()1.525(含水物)。有还原性和右旋光性。分α-型和β-型两种异构体。

α-型乳糖可被酸和乳糖酶分解成葡萄糖和半乳糖,可受乳酸菌类的作用而成为乳酸,但酵母不能利用。在水中结晶析出者为一水化物C12H22O11·H2O,如在120℃下加热,可成为无水物。无水物熔点201~202℃,1g可溶于5mL水或2.6mL热水,微溶于乙醇,不溶于乙醚。

β-型乳糖在93℃以上的热水中析出,溶解度不同于α-型,1g溶于2.2mL水或1.1mL热水。熔点152℃,旋光度〔α〕+53.6°。在2%硫酸乳浊液中可水解为葡萄糖和半乳糖。

仅存在于动物乳汁中,人乳中约含7%(5~8%),牛乳中约含4.5%(4~5%)。在体温状态时,按二份α-型和三份β-型的比例混合而成平衡状态。普通乳糖商品为α-型。

质量规格(JSCⅠ-Ⅱ)

用途 用作赋形剂、分散剂、营养剂,利用其易压缩成形和吸水性低的特点,作压片等赋形剂。作为粉状物品色素的吸附分散剂,可降低色素浓度,减少贮存期间退色。

随便看

 

离鸟网收录3541549条中英文词条,其功能与新华字典、现代汉语词典、牛津高阶英汉词典等各类中英文词典类似,基本涵盖了全部常用中英文字词句的读音、释义及用法,是语言学习和写作的有利工具。

 

Copyright © 2004-2024 vtrois.com All Rights Reserved
更新时间:2026/4/20 22:02:47