网站首页  词典首页


请输入您要查询的字词:

 

字词 乳及乳制品的检验
类别 中英文字词句释义及详细解析
释义

乳及乳制品的检验


(一)采样

1.牛乳

牛乳脂肪球的上浮和析出,奶油粒的凝固作用,要取得均一的样品必须充分搅匀,用长柄镀锡金属或不锈钢制搅拌器,上下搅动8~10次后,方可取样。

两个以上容器中乳取样可以在取样后按乳的数量比例混合,然后检验。在大容器内采样时,应在各个不同位置取样。按千分之一数量取样,数量不足1000的取一件,超过1000尾数大于500增抽一件。鲜牛乳一般取500mL。

如果样品不能立即检验,则需要在5℃以下条件下保存或加入0.1%重铬酸钾,也可加入40%甲醛1~2滴,以防变质。

2.乳制品

桶装乳粉按总数1%抽样,用预先灭菌的83cm长的开口采样扦,在容器的四角及中心各采取样品一扦放在盘中搅匀,再取约总量的0.1%作为检验用。采瓶装样品应将乳制品置于37℃下保温7d,再按批号的千分之一取样,但每次不得少于两瓶,超过500件,增加一瓶。

(二)感官检验

1.鲜乳

①色泽 呈乳白色或稍带微黄色。

②滋味和气味 具有新鲜牛乳固有的香味,无其他异物。

③组织状态 呈均匀的胶态流体。无沉淀、无凝块、无杂质和无异物等。

2.乳制品

参见相关标准。

(三)牛乳的理化检验

1.相对密度的测定

将10~25℃的牛乳样品小心地注入体积为250mL的量筒中,加3/4时,放入乳稠计,让它自由浮动,静止1~2min后读数,查牛乳换算表,将乳稠计度数换算成20℃或15℃时的读数(见表4-2-27、表4-2-28)相对密度计与乳稠计读数的关系如下:

表4-2-27 乳稠计读数变为温度15℃时的度数换算表

表4-2-28 乳稠计读数变为20℃时的度数的换算表

注:(1)牛乳应沿玻璃量筒壁徐徐加入,以免产生泡沫影响测定。

(2)不可使乳稠计与量筒壁相撞,以免结果不准。

2.乳脂肪的测定

参见第二章第一节四脂肪的测定中“巴布科克法”或“哥特里-罗紫法”。

3.酸度(°T)的测定

(1)乙醇法:试管中加入等量的中性乙醇和牛乳(一般各2mL),以大拇指按住管口,颠倒2次不出现絮片者符合下列酸度标准,出现絮片者,表示酸度较大(见表4-2-29)。

表4-2-29 乙醇试验判定

(2)滴定酸度:用0.1mol/L氢氧化钠滴定法,滴定100mL乳所耗用的0.1mol/L氢氧化钠毫升数称为滴定酸度。用°T表示。

测定方法:吸取10mL牛乳置于100mL三角瓶中,加入20mL蒸馏水,再加入0.5mL0.5%的酚酞乙醇溶液,搅拌均匀,将0.1mol/L氢氧化钠标准溶液于5mL的微量滴定管滴定至微红色,在1min内不消失为止。消耗0.1mol/L氢氧化钠标准溶液的毫升数乘以10即为酸度(°T)。

(3)说明:

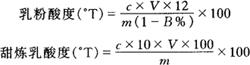
①淡炼乳:吸取10.0mL样品液,加60mL新煮沸放冷的水及数滴酚酞指示剂,以下自“搅拌均匀”后操作。

②甜炼乳:称取10.00g样品,加65mL新煮沸放冷的水,以下自“搅拌均匀”后操作。

③奶油:准确称取10g样品,加30mL中性乙醇-乙醚混合液,混匀,并加入数滴酚酞,以下自“搅拌均匀”后操作。

4.牛乳的加碱测定

为了掩盖牛乳的酸败作用,防止牛乳因变酸而发生凝结现象,而在牛乳中加碱(Na2CO3或NaHCO3),从而使牛乳滋味不佳,易腐败,对人体健康不利。

(1)试剂:0.04%溴麝香草酚蓝乙醇溶液。

(2)操作方法:把5mL被检牛乳注入试管中,将试管保持倾斜位置,再沿管壁小心加入溴麝香草酚蓝溶液5滴,把试管小心斜转2~3次(勿使两液混合),然后把试管垂直放置,2min后根据指示剂环层和颜色特征确定结果,同时做空白对照试验(见表4-2-30)。

表4-2-30 牛乳中碳酸钠量与指示剂颜色

5.牛乳掺水的检验

一般牛乳的非脂固形物含量在8.5%以上,若测定的牛乳非脂固形物含量低于8.5%,可疑为牛乳中掺水。

6.非脂乳固体测定

取直径5~7cm的铝皿或玻璃皿,加20g精制海沙,在95~105℃干燥2h,于干燥器冷却0.5h,称量,并反复干燥至恒重,称取5.0mL样品于恒重的皿内,称量,置水浴上蒸干,擦去皿外的水渍,于95~105℃干燥3h,取出放干燥器中冷却0.5h,称量,再于95~105℃干燥1h,取出冷却后称量,至前后2次质量相差不超过1mg。

计算:

式中 x——样品中总固体的含量(g/100g);

m0——皿和海沙质量(g);

m1——皿和海沙加样品干燥后质量(g);

m——皿和海沙加样品质量(g)。

而:

样品中非脂固体含量(g/100g)=样品中总固体含量-样品中脂肪含量

(四)乳制品理化检验

1.乳粉的水分测定

参见第二章第一节。

2.酸度的测定

称取样品4g(准确至0.01g),置于50mL烧杯中,用煮沸过的蒸馏水(除去CO2)70~90mL分数次将样品溶解,洗入250mL三角瓶中,加热至80℃,静置冷却,加数滴酚酞溶液,摇匀,用0.1mol/L氢氧化钠滴定至微红色,1min内不消失。

计算:

式中 c——标准氢氧化钠溶液的摩尔浓度(mol/L);

V——滴定消耗标准氢氧化钠的体积(mL);

m——样品质量(g);

B%——样品中水分含量百分数;

12——12g乳粉相当于100mL鲜乳。

3.脂肪、蛋白质、乳糖、蔗糖

参见第二章第一节。

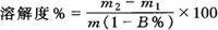
4.溶解度的测定

离心称重法:准确称取样品5g,用38mL温水(28~30℃)分数次将乳粉溶解,洗入50mL离心管中,用少量洗涤烧杯数次,将洗液合并于离心管中,塞上橡皮塞,将管置30℃温水中保温5~10min,取出,振荡3min,然后离心(1000r/min),经10min取出,小心地倒掉上面液体,并用棉栓拭清管壁上的水。用少量水将全部沉淀洗入已知质量的蒸发皿中。先于水浴上蒸干,然后移入100~105℃烘箱中烘至恒重(接连两次质量差不超过1mg)。从不溶物的质量计算出乳粉的溶解度。

计算:

式中 m——样品质量(g);

m1——称量皿质量(g);

m2——称量皿和不溶物干燥后质量(g);

B%——样品中水分含量。

说明:加糖乳制品计算时必须扣除加糖百分数。

5.铅、砷的测定

参见第二章第二节。

(五)微生物检验

参见第二章第三节。

随便看

 

离鸟网收录3541549条中英文词条,其功能与新华字典、现代汉语词典、牛津高阶英汉词典等各类中英文词典类似,基本涵盖了全部常用中英文字词句的读音、释义及用法,是语言学习和写作的有利工具。

 

Copyright © 2004-2024 vtrois.com All Rights Reserved
更新时间:2026/4/20 17:53:46