网站首页  词典首页


请输入您要查询的字词:

 

字词 乙醛的测定(比色法)
类别 中英文字词句释义及详细解析
释义

乙醛的测定(比色法)


1.方法原理

果实在贮藏中,乙醛含量有所增加,当乙醛含量过多积累时,就会影响果实的正常代谢。因此,在果实进行贮藏期间,对乙醛含量的分析测定是十分必要的。

乙醛可与亚硫酸钠结合而形成一种非挥发性的化合物。

CH3CHO+Na2SO3→CH3CHO·SO3Na

此化合物在硫酸铜及浓硫酸存在条件下与对羟基苯形成紫色。这种显色反应服从比耳定律,可以准确测定乙醛。

2.仪器与试剂

(1)仪器。三角瓶、试管、吸管、漏斗、水浴锅、抽气机、高速组织捣碎机、分光光度计。

(2)试剂。2%亚硫酸钠(用时配制),5%硫酸铜、1%对羟基联苯、浓硫酸(相对密度1.84)、0.1%三聚乙醛。①1%对羟基联苯:称取1g对羟基联苯溶于25mL热的2mol/L氢氧化钠溶液中,冷却后加入75mL蒸馏水,放在棕色瓶中。②0.1%三聚乙醛贮藏液:将1mL重蒸馏的三聚乙醛溶液在1000mL蒸馏水中,即1000μL/L的贮藏母液,在冰箱中保存,可达2个月以上。

测定时取上述三聚乙醛母液2mL定量至100mL,浓度为20μL/L,再按表2-16稀释成2~15μL/L的标准液,待做标准曲线。

表2-16 制作三聚乙醛标准曲线的母液稀释数量

3.操作步骤

(1)样品提取。取果蔬样品200g,打浆(或直接压榨取汁),双层纱布过滤,吸取滤汁5~15mL(视滤汁中乙醛含量高低而定,乙醛含量高,则吸取滤汁量相应减少)置于三角瓶中,加水20mL(三角瓶置于30℃恒温水浴中),然后用橡皮塞塞紧,塞上打两孔,一孔插一玻璃管,与大气相通,其长度应达三角瓶内的液面以下。另一玻璃管与气体吸收瓶连接(如图2-45),吸收瓶置水浴中,内加2%亚硫酸钠10mL,用大气采样器(或水泵)抽气,气流速度为300mL/min,吸收时间1~2h。

图2-45 乙醛提取装置

1-滤汁 2-水浴 3-吸收瓶 4-硅胶 5-大气采样器

(2)比色测定。取已吸收乙醛的吸收液1mL,放入长200mm×直径20mm的试管中,再加入0.05mL 5%硫酸铜,然后将试管置冰水中,缓慢加入8mL浓硫酸,摇匀。再加入0.2mL 1%对羟基联苯,摇匀后在30℃恒温下放置30min中间轻轻摇动试管数次,以后再将试管放入沸水中1.5min,冷却后呈紫色,在分光光度计560nm处比色。上述标准曲线稀释液也在同样条件下反应进行比色。

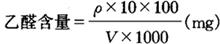
4.结果计算

以三聚乙醛浓度(μL/L)为横坐标,绘制标准曲线。根据样品吸收液的光密度,可从标准曲线上查出每毫升吸收液中的乙醛量(μg),然后按下式换算成100mL果蔬汁液中含乙醛毫克数。

式中 ρ——由标准曲线查得的乙醛浓度,μL/L

V——比色用果蔬汁液体积,mL

10——吸收液总体积,mL

100——将汁液体积化为100mL

1000——将乙醛含量(μg)换算为mg

随便看

 

离鸟网收录3541549条中英文词条,其功能与新华字典、现代汉语词典、牛津高阶英汉词典等各类中英文词典类似,基本涵盖了全部常用中英文字词句的读音、释义及用法,是语言学习和写作的有利工具。

 

Copyright © 2004-2024 vtrois.com All Rights Reserved
更新时间:2026/4/19 0:14:27