网站首页  词典首页


请输入您要查询的字词:

 

字词 乙酰柠檬酸三(2-乙基己)酯
类别 中英文字词句释义及详细解析
释义

乙酰柠檬酸三(2-乙基己)酯


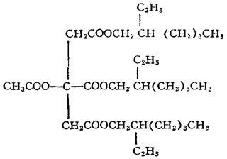
【结构式】:

【释文】:

性质 无色油状液体。分子量571。色泽(APHA)75。酸度(以柠檬酸计)<0.1%。相对密度0.983(25℃)。流动点-19.4℃。沸点225℃(1毫米汞柱)。闪点(开杯法)224℃。

用途 本品为聚氯乙烯、氯乙烯共聚物用增塑剂。无毒,耐寒性好,挥发性极小,在相同配方和条件下,本品的挥发损失仅为邻苯二甲酸二辛酯的四分之一。本品也可作为聚偏二氯乙烯的稳定剂。

毒性 无毒,联邦德国允许本品用于制作食品包装材料。

国外商品名

随便看

 

离鸟网收录3541549条中英文词条,其功能与新华字典、现代汉语词典、牛津高阶英汉词典等各类中英文词典类似,基本涵盖了全部常用中英文字词句的读音、释义及用法,是语言学习和写作的有利工具。

 

Copyright © 2004-2024 vtrois.com All Rights Reserved
更新时间:2026/4/21 2:48:46