网站首页  词典首页


请输入您要查询的字词:

 

字词 乙氧基化甲基葡萄糖苷硬脂酸酯
类别 中英文字词句释义及详细解析
释义

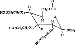
乙氧基化甲基葡萄糖苷硬脂酸酯


别名 MSE

结构式

性能 由甲基葡萄糖苷硬脂酸酯经环氧乙烷乙氧基化而制得,为水溶性的乳化剂。有良好的触变性能。配伍性好。HLB为15。

用途 用作水包油型膏霜及蜜的乳化剂。

包装 塑料桶装。

国内生产厂 江苏昆山石牌化工厂、上海日化研究所。

随便看

 

离鸟网收录3541549条中英文词条,其功能与新华字典、现代汉语词典、牛津高阶英汉词典等各类中英文词典类似,基本涵盖了全部常用中英文字词句的读音、释义及用法,是语言学习和写作的有利工具。

 

Copyright © 2004-2024 vtrois.com All Rights Reserved
更新时间:2026/4/19 20:05:08