焙烤食品机械设备的生产能力,大部分在设备铭牌上可以查出,不需计算,但有些设备的生产能力随物料、产品品种、生产工艺条件等的不同而改变就应进行计算。现将几种常用的主要设备的生产能力计算,举例如下:
(一)和面机的生产能力计算
确定和面机的型号之后,即可根据班产量的大小,计算所需台数。
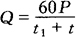
和面机生产能力按下式计算:

式中 Q——和面机生产能力(kg/h);
P——和面机容量,即每次加入的面粉量(kg/次)或面粉相当量(油、奶粉、糖、糖浆、酵母等折合面粉的质量);
t1——每次操作时间(min);
t——每次操作辅助时间(min)。
若班产量为Q班(以面粉计),则应选和面机台数为:

式中 A——和面机台数(台);
Q班——班产量(以面粉计)(kg/班);
Q单——单台和面机生产能力〔kg/(h·台)〕;
7——每班按7h生产计算,余下1h为班前与班后生产准备和清洁卫生用(/班)。
所得A值为最小设备需要量,实际生产中应考虑设备维修不停产与旺季加班等因素,需增加一台备用。附表上列出了和面机主要技术规格、生产厂家等,供选用参考。
(二)辊印式饼干成形机生产能力计算

式中 Q——生产能力(kg/h);
a——辊筒上凹模数目(块);
n——辊筒转速(次/min);
M——每千克制品的块数(m/kg);
k1——机器操作基本时间系数,常取k1为0.97;
k2——将需返工重制的废品计算在内的制品合格率系数,一般可取k2为0.98。