网站首页  词典首页


请输入您要查询的字词:

 

字词 中国制盐工业
类别 中英文字词句释义及详细解析
释义

中国制盐工业


中国是世界产盐历史最悠久的国家之一。相传炎黄之世,已煮海为盐;尧舜时期河东解池(今山西省运城盐池)已成为重要产盐基地;战国末期,公元前256年~前251年,秦国以李冰为蜀守,在今四川双流、成都一带凿井汲卤煎盐,并对荣县、乐山等地涌出地表的盐泉围筑井口,加凿井身;距今都已数千年。海盐生产由上古迄于唐宋,大都是淋卤煎盐;宋元之际,福建实行淋卤晒盐,并逐步推广;明嘉靖初期,长芦、淮北推行晒卤晒盐。湖盐是天然结晶,人工采捞;运城盐池在隋唐之际实行垦畦浇晒,为晒盐之始。井盐由秦、汉到唐、宋,都是挖掘大口浅井,汲取天然卤水煎制;北宋庆历(1041~1048)、皇祐(1049~1054)年间,四川出现“卓筒井”,首次采用钻头(阛刃锉)和顿钻法凿井,井口如碗大,井身直如筒,深数十丈,从此进入小口深井阶段,深钻技术居世界前矛,在世界科技史上占有重要地位,十二世纪传入欧洲,促进了西方石油、采矿工业的发展。清道光十五年(1835)钻成世界第一口超千米深井——自贡燊海井;由卤成盐都用煎法。矿盐先是从地面或地下直接采出,清乾隆五十八年(1793)云南石羔井开始采用斜井采矿;到清光绪十八年(1892)四川自贡钻出第一口岩盐井,注水溶解后汲卤制盐,为钻井水溶的雏形,并于1895年开创岩盐井自然连通开采工艺。我国古代制盐技术是华夏古文明的重要组成部分。

中国盐的资源也很丰富。大陆海岸线18,000多公里,沿海地区及海南、台湾、舟山等岛屿都可利用海水产盐;特别是淮河以北沿海地区,滩涂平阔,常年蒸发量较大,降雨量较小,有明显的旱季,更适于生产海盐。湖盐分布在内蒙古、青海、新疆、西藏等省、自治区,属于着名的北半球盐湖带,储量居世界一半以上。矿盐分布在四川、云南、湖南、湖北、安徽、江苏、山东、河南、广东、青海、新疆等省、自治区,新的矿床还在陆续发现,为我国制盐工业的发展提供了广阔的前景。

但是,在旧中国,由于历代统治者为了扩大盐的税利收入,大都采用专卖形式,以严刑峻法控制着盐的产销,束缚了生产的发展。到近代,西方主要资本主义国家,在产业革命的推动下,经济迅速发展,制盐工业逐步实现机械化,生产规模日益扩大:而我国,由清末到北洋军阀统治时期,帝国主义者通过以盐税为抵押的巨额贷款,直接控制了中国的盐业管理大权,肆意榨取盐的税利收入;日本帝国主义者侵华时期,霸占了中国沿海大部分盐场,以血腥手段镇压盐工,致力于掠夺产品;在国民党统治下,官僚资本通过专卖、官运和运商登记等手段,全面强化对盐业产销的控制,在生产领域内,以低价收购产品,剥削盐工、盐民;在流通领域内,以垄断价格进行销售,剥削广大消费者。因此,我国制盐工业长期处于落后状态,生产完全依靠手工操作,发展缓慢。由1930年到1949年,产盐由178万吨增加到298万吨,40年共增长67%,平均每年仅递增1.3%,最高年产量为392万吨(1943年)。

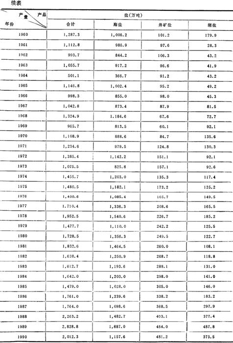
中华人民共和国成立后,经过40年的努力,制盐工业发生了根本变化。人民政府没收了官僚资本经营的盐场(厂),建立起一批国营盐场;结合土地改革在民营盐场开展了民主改革和反霸斗争,盐民在政治上翻了身;实行公私兼顾的政策,规定合理的收购价格,使生产者有利可图;实行就场征税、税不重征的方针,减轻消费者的负担。这些措施极大地调动了各方面的积极性。“一五”以来,制盐工业有计划地进行了基本建设和技术改造,新建、扩建、改建了南堡、羊口、复州湾、莺歌海、张家坝、吉兰太等一批大中型盐场(厂),湖南、江西、安徽、河南结束了不产盐的历史,湖北云应地区形成新的井矿盐生产基地,1989年末全国盐的生产能力达到2382万吨,比1950年末的300万吨增长近7倍。制盐技术显着进步:海盐区普遍设立了气象台、站、哨、组,重点盐场安装了测雨雷达;总结推广了新卤、适当深卤、适当长期结晶的新工艺,部分结晶池采用了塑料薄膜苫盖;零乱分散的盐田改造成集中式、半集中式的盐田,基本实现了扬水、制卤、结晶、集坨“四集中”的要求;扬水、收盐、运盐、堆坨、筑装采用了专用设备,机械化、半机械化程度大大提高。大中型湖盐场采用了联合采盐机或采盐船,结合管道水输或轻便铁轨运输。井矿盐用旋转钻、大型涡轮钻代替了顿钻打井,用气举法、自喷法、泵抽法代替天车、钢丝绳、镔铁筒汲取天然卤水,用单井对流、油垫法、水力压裂法代替了雏形的钻井水溶法开采地下岩盐,用真空制盐代替了圆锅、平锅煎盐,80年代又试验成功并推广应用水力压裂同时开采多压岩盐,引进了热压蒸发、闪急蒸发制盐和盐硝联产技术,全面改变了生产面貌。以制盐母液综合利用为主的盐化工生产,形成了一套较完整的流程,真空蒸发代替了平锅煎煮,制溴、提硝等工艺取得新的突破,产品深加工硕果累累,中国制盐工业正在现代化的道路上奋勇前进,1949~1990年中国产盐量见表1-2-1。

表1-2-11949~1990年中国产盐量

由表1-2-1可见,建国后经过恢复时期,1952年产盐量已超过历史最高年产量。经过第一个五年计划,1957年产盐量比1952年增长67.4%,相当于建国前40年的增长幅度。1989年海盐大丰收,全国产盐量比1950年增10倍以上。生产布局明显变化,以海盐产量基本正常的1949年和1988年对比:海盐在总产量中所占比重由86.9%下降为63.46%,井矿盐和湖盐的比重由15%上升为36%。1990年全国共有大中型制盐企业31个,它们是:天津的塘沽盐场、汉沽盐场;河北的南堡盐场、黄骅盐场、大清河盐场;辽宁的营口盐场、复州湾盐场、皮子窝化工厂、金州盐场;山东的羊盐场和埕口盐场;江苏省盐业公司;海南的莺歌海盐场;四川的五通桥盐厂、张家坝化工厂、自流井盐厂、邓关盐厂、大安盐厂、长山盐矿、贡井盐厂;云南的一平浪盐厂;湖北的应城盐矿;湖南的湘浬盐矿、湘衡盐矿;江西的江西盐矿;内蒙古的吉兰太盐场、雅布赖盐场;青海的茶卡盐场;新疆的盐湖化工厂、七泉湖化工厂、七角井化工厂。这些企业的年产量约占全国的60%以上。盐化工生产,1949年只有7种产品,产量不过1万吨;1890年产品达到60多种,产量70多万吨。

盐的销量历年来是持续上升的、1989年比1950年增长9倍多;其中食盐增长4.4倍,工业用盐增长78倍多,销盐结构发生了明显的变化,详见表1-2-2。

表1-2-2 1949~1990年全国盐的分配销售量 单位:万吨

随便看

 

离鸟网收录3541549条中英文词条,其功能与新华字典、现代汉语词典、牛津高阶英汉词典等各类中英文词典类似,基本涵盖了全部常用中英文字词句的读音、释义及用法,是语言学习和写作的有利工具。

 

Copyright © 2004-2024 vtrois.com All Rights Reserved
更新时间:2026/4/20 3:28:38