网站首页  词典首页


请输入您要查询的字词:

 

字词 中值定理
类别 中英文字词句释义及详细解析
释义

中值定理


罗尔(Rolle)定理 如果函数f(x)在闭区间[a,b]上连续,在开区间(a,b)内可导,且在区间端点的函数值相等,即f(a)=f(b),则在(a,b)内至少有一点ξ(a<ξ<b),使得函数f(x)在该点的导数等于零,即f′(ξ)=0.

几何意义 是一条连续的曲线弧,除端点外处处具有不垂直于x轴的切线,且两个端点的纵坐标相等.则在曲线弧上至少有一点C,在该点处曲线的切线是水平的(见图4.1).

图4.1

拉格朗日(Lagrange)中值定理(微分中值定理) 如果函数f(x)在闭区间[a,b]上连续,在开区间(a,b)内可导,则在(a,b)内至少有一点ξ(a<ξ<b),使得

f(b)-f(a)=f′(ξ)(b-a).

几何意义

是一条连续的曲线弧,除端点外处处具有不垂直于x轴的切线,则在曲线弧上至少有一点C,在该点处曲线的切线平行于弦AB(见图4.2).

图4.2

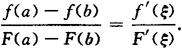
柯西(Cauchy)中值定理 如果函数f(x)及F(x)在闭区间[a,b]上连续,在开区间(a,b)内可导,且F′(x)在(a,b)内每一点处均不为零,则在(a,b)内至少有一点ξ(a<ξ<b),使得

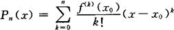
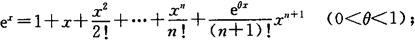
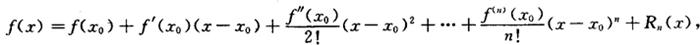
泰勒(Taylor)中值定理 如果函数f(x)在含有x0的某个开区间(a,b)内具有直到(n+1)阶的导数,则当x在(a,b)内时,f(x)可以表示为(x-x0)的一个n次多项式与一个余项Rn(x)之和,即

称为f(x)按(x-x0)的幂展开的n阶泰勒公式.其中(ξ是在x0与x之间的某个值)称为拉格朗日型余项.当Rn(x)的形式取为Rn(x)=o((x-x0))时,称为佩亚诺型余项.

称为f(x)按(x-x0)的幂展开的n次多项式

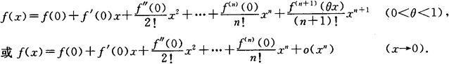
麦克劳林(Maclaurin)公式

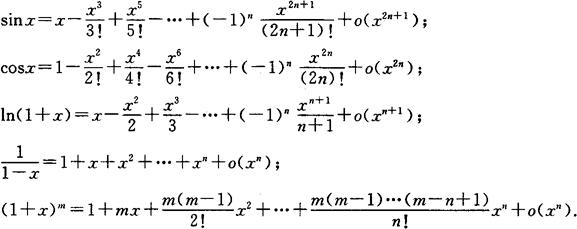
常用函数的麦克劳林公式

随便看

 

离鸟网收录3541549条中英文词条,其功能与新华字典、现代汉语词典、牛津高阶英汉词典等各类中英文词典类似,基本涵盖了全部常用中英文字词句的读音、释义及用法,是语言学习和写作的有利工具。

 

Copyright © 2004-2024 vtrois.com All Rights Reserved
更新时间:2026/4/20 0:33:43