网站首页  词典首页


请输入您要查询的字词:

 

字词 两正态总体期望差μ1-μ2的假设检验
类别 中英文字词句释义及详细解析
释义

两正态总体期望差μ1-μ2的假设检验


1.均已知

(1)H0:μ1-μ20

H1:①μ1-μ2≠δ0

②μ1-μ2>δ0

③μ1u2<δ0

(2)统计量

(3)给出α,H0的拒绝域

对()来说,H0的拒绝域为

2.均为未知,但

(1)H0:μ1-μ20

H1:①μ1-μ2≠δ0

②μ1-μ2>δ0

③μ1-μ2<δ0

(2)统计量

其中Sω如前面给出的.

(3)给出α,H0的拒绝域为

对()来说,H0的拒绝域为

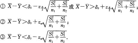
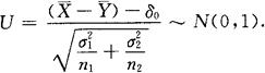
3.均未知,但n1,n2都很大

(1)H0:μ1-μ20

H1:①μ1-μ2≠δ0

②μ1-μ2>δ0

③μ1-μ2<δ0

(2)统计量

(3)给出α,H0的拒绝域为

来说,H0的拒绝域为

随便看

 

离鸟网收录3541549条中英文词条,其功能与新华字典、现代汉语词典、牛津高阶英汉词典等各类中英文词典类似,基本涵盖了全部常用中英文字词句的读音、释义及用法,是语言学习和写作的有利工具。

 

Copyright © 2004-2024 vtrois.com All Rights Reserved
更新时间:2026/4/19 18:19:51