网站首页  词典首页


请输入您要查询的字词:

 

字词 不等精度观测值的平差
类别 中英文字词句释义及详细解析
释义

不等精度观测值的平差


1.权的概念

在不等精度观测中,因各观测的条件不同,所以各观测值具有不同的可靠程度。在求未知量的可靠值时,就不能像等精度观测那样简单地取算术平均值,因较可靠的观测值应对最后的结果产生较大的影响。

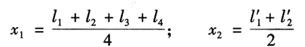
各不等精度观测值的不同可靠程度,可用一个数值来表示,该数值称为权,用p表示。“权”是权衡轻重的意思。观测值的精度高,可靠性强,则权也大。例如,对某一未知量进行两组不等精度观测,但每组内观测值是等精度的。设第一组观测了4次,观测值为l1,l2,l3,l4;第二组观测了2次,观测值为l1′,l2′。这些观测值的可靠程度都相同,则每组分别取算术平均值作为最后的观测值。即

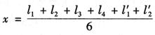
两组观测合并,相当于等精度观测6次,故两组观测值的最后结果应为

但对x1,x2来说,彼此是不等精度观测。如果用x1,x2来计算,则上式计算实际是

从不等精度观点来看,观测值x1是4次观测值的平均值,x2是2次观测值的平均值,x1和x2的可靠性是不一样的,用4和2表示x1和x2相应的权,也可用2和1表示x1和x2相应的权,分别代入上面公式,计算x结果是相同的。因此“权”可看作是一组比例数字,用比例数值大小来表示观测值的可靠程度。

2.权与中误差的关系

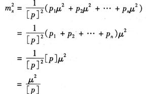
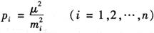
观测结果的中误差愈小,其结果愈可靠,权就愈大。不等精度观测值的权与该组观测值的中误差有关。设对某量进行一组不等精度观测,设各观测值为l1,l2,…,ln,其相应的中误差为m1,m2,…,mn,各观测值的权为p1,p2,…,pn,则权的定义公式为

式中,μ为任意常数。从式中可看出权与中误差的平方成反比。

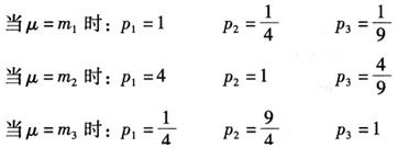
例如,不等精度观测值l1,l2,l3,其相应的中误差为m1=±2″,m2=±4″,m3=±6″,按上式计算各观测值的权为

由此可见,权是一组比例数字,μ值确定后,各观测值的权就确定了。μ值不同,各观测值的权数值也不同,但权之间的比例关系不变。

等于1的权称为单位权,而权等于1的观测值称为单位权观测值,单位观测值的中误差称为单位权中误差,上例中μ=m1时,p1=1,即l1为单位权观测值,l1的中误差m1称为单位权中误差。

在实际工作中,通常是在观测值中误差求得之前,需先确定各观测值的权。这时可按获得各观测值的实际情况,根据权的定义原理,确定各观测值的权。例如水准测量中,水准路线愈长,测站数愈多,观测结果的可靠程度愈差,精度愈低。因此,通常取水准路线长度Li或测站ni的倒数为观测值li的权,即

式中 c——任一大于零的常数。

3.不等精度观测值的最或然值——加权平均值

在不等精度观测中,各观测值具有不同的观测精度,最后的结果(即最或然值)用简单的算术平均值公式计算显然不合理,因精度较高的观测值,在最或然值中应占有较大的比例。设对某一量进行n次不等精度观测,观测值分别为l1,l2,…,ln,各观测值的权为p1,p2,…,pn,顾及各观测值在精度上的差异,测量上应取加权平均值作为该量的最或然值,即

式中,x0是x的近似值,δi=li-x0(i=1,2,…,n)。

不等精度观测的似真误差为vi=li-xi,代入下式:

[pv]=[p(li-x)]=[pl]-[p]x

将x代入,上式为

[pv]=0

因此,[pv]=0可作为计算的检核。但应说明:计算过程如果取位不够,[pv]将不会严格等于0。接近于0也可,它不影响最终精度的计算。

4.不等精度观测值的精度评定

(1)单位权中误差

单位权中误差与观测值中误差的关系式如下:

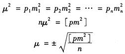
当n足够大时,中误差mi可由真误差△i代替,故

当真误差△i未知时,可先求各观测值的似真误差vi(vi=li-x),再根据vi计算单位权中误差μ为:

(2)观测值中误差

各观测值的权pi

观测值中误差mi为:

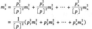
(3)加权平均值的中误差

不等精度观测的平均值为:

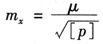
设已知观测值的中误差为m1,m2,…,mn,加权平均值的中误差为:

根据权定义式,即,代入上式得

因此加权平均值中误差mx为:

随便看

 

离鸟网收录3541549条中英文词条,其功能与新华字典、现代汉语词典、牛津高阶英汉词典等各类中英文词典类似,基本涵盖了全部常用中英文字词句的读音、释义及用法,是语言学习和写作的有利工具。

 

Copyright © 2004-2024 vtrois.com All Rights Reserved
更新时间:2026/4/20 11:24:02