网站首页  词典首页


请输入您要查询的字词:

 

字词 不合格率(p)控制图
类别 中英文字词句释义及详细解析
释义

不合格率(p)控制图


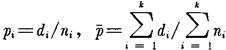
简称p-图。它是用来判断和监控生产过程的产品或其质量指标不合格率是否处于或保持标准所要求的水平。设抽取k个样本(即k组数据,k≥25),第i个样本容量为ni,其中不合格数为di,则

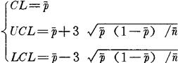
对于p-图3条线的精确计算公式是:

或者当时,可应用近似公式计算:

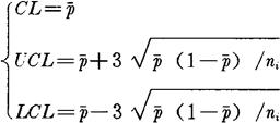
式中。但当发现点子靠近控制线时,应按精确计算公式重新计算上、下控制界限,以确定该点究竟是否越限。

随便看

 

离鸟网收录3541549条中英文词条,其功能与新华字典、现代汉语词典、牛津高阶英汉词典等各类中英文词典类似,基本涵盖了全部常用中英文字词句的读音、释义及用法,是语言学习和写作的有利工具。

 

Copyright © 2004-2024 vtrois.com All Rights Reserved
更新时间:2026/4/19 11:53:41