网站首页  词典首页


请输入您要查询的字词:

 

字词 不合格数(pn)控制图
类别 中英文字词句释义及详细解析
释义

不合格数(pn)控制图


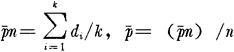
简称pn-图。作用同p-图,但适用于各样本容量都相同(为n)的场合。设抽取k个(k≥25)容量均为n的样本,第i个样本含的不合格数为di个。则不合格数均值是:

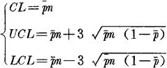
3条线的计算公式是:

随便看

 

离鸟网收录3541549条中英文词条,其功能与新华字典、现代汉语词典、牛津高阶英汉词典等各类中英文词典类似,基本涵盖了全部常用中英文字词句的读音、释义及用法,是语言学习和写作的有利工具。

 

Copyright © 2004-2024 vtrois.com All Rights Reserved
更新时间:2026/4/21 6:59:02