网站首页  词典首页


请输入您要查询的字词:

 

字词 三角恒等式
类别 中英文字词句释义及详细解析
释义

三角恒等式


加法公式

sin(α±β)=sinαcosβ±cosαsinβ;

cos(α±β)=cosαcosβsinαsinβ;

和差与积互化公式

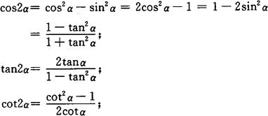
倍角公式

sin3α=-4sin3α+3sinα;

cos3α=4cos3α-3cosα.

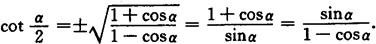
半角公式 下列公式中根号前所取符号与等号左边的符号一致.

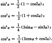
降幂公式

正弦定理与余弦定理(参见图1.1)

图1.1

a2=b2+c2-2bccosA;

b2=c2+a2-2cacosB;

c2=a2+b2-2abcosC.

随便看

 

离鸟网收录3541549条中英文词条,其功能与新华字典、现代汉语词典、牛津高阶英汉词典等各类中英文词典类似,基本涵盖了全部常用中英文字词句的读音、释义及用法,是语言学习和写作的有利工具。

 

Copyright © 2004-2024 vtrois.com All Rights Reserved
更新时间:2026/4/20 10:52:54