网站首页  词典首页


请输入您要查询的字词:

 

字词 三相正弦交流电路
类别 中英文字词句释义及详细解析
释义

三相正弦交流电路


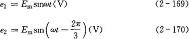
1.三相正弦交流电的产生

三相正弦交流电动势由三相交流发电机产生,其转子是电磁铁,磁极表面的磁场按正弦规律分布。三相定子绕组A-X、BY、C-Z彼此相隔120°。转子在原动机如汽轮机带动下转动时,根据电磁感应原理,则三相绕组中产生出的感生电动势分别为e1、e2、e3。由于各相绕组的结构相同而互差120°,因此三相电动势的最大值相等,角频率相同但初相角互差120°。三相电动势瞬时值表达式为:

2.三相正弦交流电三相四线制供电方式

三相交流发电机的三相定子绕组作星形(丫)连接,三相绕组的尾端并接点叫中点,中点接地后叫零点,用符号N表示,零点的引出线叫零线。三相绕组始端的引出线叫相线,分别用符号L1、L2、L3表示。由三根相线和一根零线构成的供电方式称为三相四线制供电方式。这种供电方式可输送线电压,其有效值用符号U1表示;相电压,其有效值用符号Up表示。

值得注意的是三相四线制供电方式中的零线上不允许安装熔断器及开关。

3.对称三相电源电压的计算

(1)三相电源星形(丫)连接

式中 U1——线电压有效值(V);

Up——相电压有效值(V)。

相量式:

上列各式中,是线电压有效值的相量,是相电压有效值的相量。

(2)三相电源三角形(△)连接

U1=Up (2-176)

(2-177)

(2-178)

UCA=UC (2-179)

4.对称三相电路的计算

(1)负载与电源均为星形连接(丫-丫)电路的计算(如图2-52所示)

图2-52 负载与电源均为星形(丫-丫)连接

①相电流

的初相角互差120°,则

②线电流

IA1=Iap (2-186)

IB1=Ibp (2-187)

IC1=Icp (2-188)

IA1=IB1=IC1 (2-189)

的初相角互差120°,则:

③零线电流 (2-193)

④相电压

(2-194)

(2-195)

(2-196)

上式中,分别是负载的相电压有效值的相量,它们的初相角互差120°,则:

⑤线电压

(2-200)

(2-201)

(2-202)

上式中,分别是负载的线电压有效值的相量,它们的初相角互差120°,则:

⑥线电压和相电压的关系

相量式:

⑦角相相电压与相电流的相位差φu1p

式中 Xp——角相负载的电抗(Ω);

Rp——角相负载的电阻(Ω)。

⑧三相功率

有功功率:

无功功率:

视在功率:

(2)电源星形连接与负载三角形连接(丫-△)电路的计算(如图2-53所示)

图2-53 电源星形连接与负载三角形连接(丫-△)

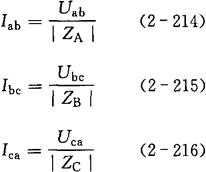
①相电流

Iab、Ibc、Ica的初相角互差120°,则:

②线电流

上列各式中,分别表示A相线、B相线、C相线的线电流有效值的相量,其模相等,即:

IA=IB=IC (2-225)

其初相角互差120°,则:

③相电压和线电压的关系

Up=U1 (2-229)

(2-230)

Ubc=UBC (2-231)

Uca=UCA (2-232)

各相的相电压与相电流的相位差及三相电功率的计算与(丫-丫)三相电路的计算相同。

5.不对称三相电路的计算

不对称三相电路,其三相负载不对称,三相电源是对称的。各相电流及各线电压与相电压的关系的计算和对称三相电路的计算相同。

(1)丫-丫电路的计算

①线电流

I1=Ip (2-233)

②零线电流 (2-234)

③三相电功率

有功功率:

P=PAp+PBp+PCp (2-235)

式中 P——三相总的有功功率(W);

PAp、PBp、PCp——分别表示A、B、C各相的有功功率(W)。

无功功率:

Q=QAp+QBp+QCp (2-236)

式中 Q——三相总的无功功率(W);

QAp、QBp、QCp——分别表示A、B、C各相的无功功率(W)。

视在功率:

S=SAp+SBp+SCp (2-237)

式中 S——三相总的视在功率(W);

SAp、SBp、SCp——分别表示A、B、C各相的视在功率(W)。

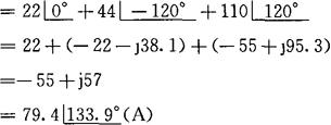
[例2-42] 今有三相对称负载作星形连接,设角相电阻为R=12Ω,角相感抗为XL=16Ω,电源线电压,求各相电流。

[解] 由于负载对称,只需计算其中一相即可推出其余两相。

在相位上滞后于为30°,所以

其余两相电流则为

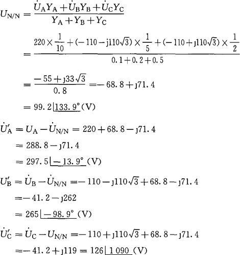
[例2-43] 三相四线制中的负载为纯电阻:RA=10Ω,RB=5Ω,RC=2Ω,负载的相电压为220V,中线阻抗ZN=0。求:①各相负载和零线上的电流;②若零线断开后,求各相负载上的电压。

[解] ①设以为参考相量,则

各相负载上的电流为:

②中线断开后,以电源零点N为参考点,用节点电压法求得

零线断开后,由于零点电压的存在,使得,可能烧坏A相和B相的电器;,造成C相电压降低,电器工作不良无法工作。

由以上看到,由于零线存在(零线阻抗忽略),三相负载不平衡时,负载的相电压仍能保持不变。但当零线断开后,三相负载的阻抗不同时,各相的电压也就不相等了。由于某相电压的增大,使这相电器可能烧毁,这是很危险的。所以在任何时候零线上不能装熔断器和开关,有时零线是用钢丝做成的。

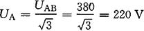
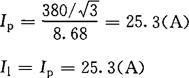
[例2-44] 将一台三相电阻炉接在线电压为380V的三相电源中,已知角相电阻为R=8.68Ω,试求三相电阻接成星形(丫)和三角形(△)时的三相有功功率,并进行比较。

[解] ①接成三角形(△)

因是电阻性负载,所以cosφu1p=1。

②接成星形(丫)

③两种连接方法进行比较

随便看

 

离鸟网收录3541549条中英文词条,其功能与新华字典、现代汉语词典、牛津高阶英汉词典等各类中英文词典类似,基本涵盖了全部常用中英文字词句的读音、释义及用法,是语言学习和写作的有利工具。

 

Copyright © 2004-2024 vtrois.com All Rights Reserved
更新时间:2026/4/18 19:13:04